Официальное опубликование правовых актов
ОФИЦИАЛЬНОЕ ОПУБЛИКОВАНИЕ
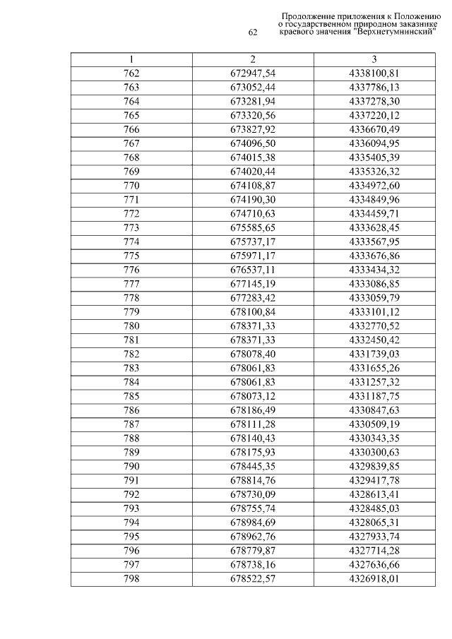
Постановление Правительства Хабаровского края от 11.10.2021 № 491-пр
"Об утверждении Положения о памятнике природы краевого значения "Селекционно-семеноводческий центр" и о внесении изменений в отдельные постановления Правительства Хабаровского края в области организации, охраны и использования особо охраняемых природных территорий краевого значения"
Номер опубликования: 2700202110140002
Дата опубликования: 14.10.2021
Страница №98 из 170:
Увеличить