Официальное опубликование правовых актов
ОФИЦИАЛЬНОЕ ОПУБЛИКОВАНИЕ
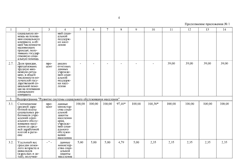
Постановление Правительства Хабаровского края от 29.03.2021 № 99-пр
"Об утверждении изменений, вносимых в государственную программу Хабаровского края "Развитие социальной защиты населения Хабаровского края", утвержденную постановлением Правительства Хабаровского края от 16 мая 2012 г. № 152-пр"
Номер опубликования: 2700202103300001
Дата опубликования: 30.03.2021
Страница №13 из 57:
Увеличить