Официальное опубликование правовых актов
ОФИЦИАЛЬНОЕ ОПУБЛИКОВАНИЕ
Постановление Правительства Хабаровского края от 26.03.2021 № 85-пр
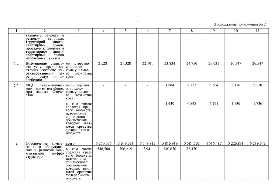
"О внесении изменений в государственную программу Хабаровского края "Повышение качества жилищно-коммунального обслуживания населения Хабаровского края", утвержденную постановлением Правительства Хабаровского края от 7 июня 2012 г. № 185-пр"
Номер опубликования: 2700202103290003
Дата опубликования: 29.03.2021
Страница №38 из 69:
Увеличить