Официальное опубликование правовых актов
ОФИЦИАЛЬНОЕ ОПУБЛИКОВАНИЕ
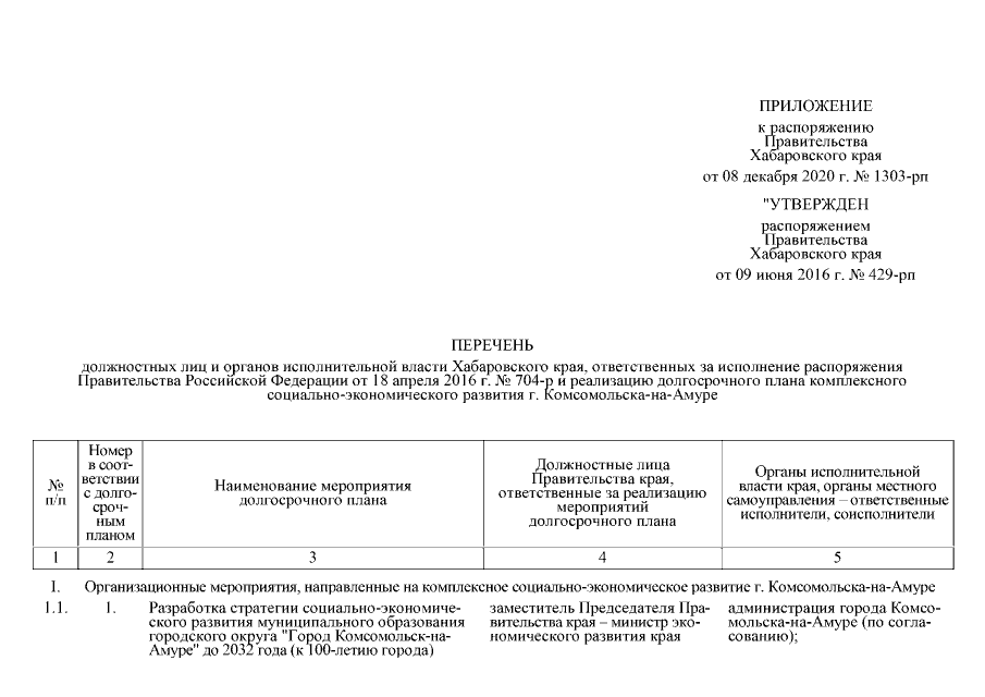
Распоряжение Правительства Хабаровского края от 08.12.2020 № 1303-рп
"О внесении изменений в распоряжение Правительства Хабаровского края от 09 июня 2016 г. № 429-рп "Об организации работы по исполнению распоряжения Правительства Российской Федерации от 18 апреля 2016 г. № 704-р"
Номер опубликования: 2700202012110002
Дата опубликования: 11.12.2020
Страница №3 из 16:
Увеличить