Официальное опубликование правовых актов
ОФИЦИАЛЬНОЕ ОПУБЛИКОВАНИЕ
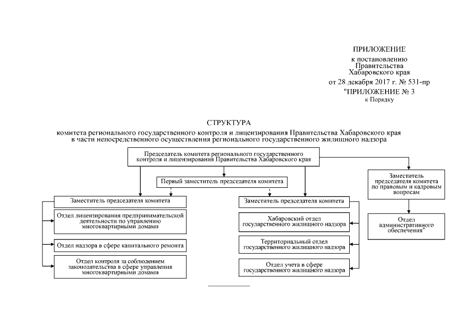
Постановление Правительства Хабаровского края от 28.12.2017 № 531-пр
"О внесении изменений в отдельные нормативные правовые акты Правительства Хабаровского края"
Номер опубликования: 2700201801040017
Дата опубликования: 04.01.2018
Страница №5 из 5:
Увеличить