Официальное опубликование правовых актов
ОФИЦИАЛЬНОЕ ОПУБЛИКОВАНИЕ
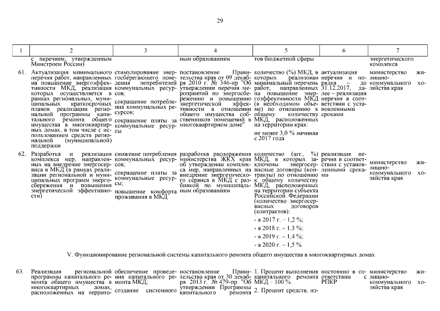
Распоряжение Правительства Хабаровского края от 31.08.2017 № 626-рп
"О внесении изменений в Комплекс мер ("дорожную карту") по развитию жилищно-коммунального хозяйства Хабаровского края", утвержденный распоряжением Правительства Хабаровского края от 31 декабря 2014 г. № 1014-рп"
Номер опубликования: 2700201709050010
Дата опубликования: 05.09.2017
Страница №30 из 37:
Увеличить