Официальное опубликование правовых актов
ОФИЦИАЛЬНОЕ ОПУБЛИКОВАНИЕ
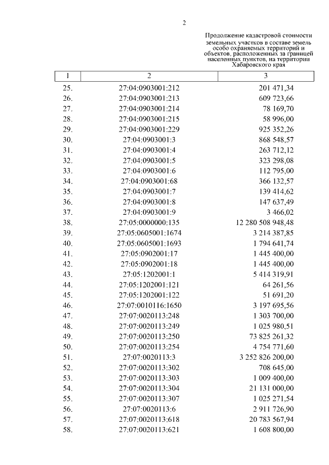
Постановление Правительства Хабаровского края от 13.01.2017 № 3-пр
"Об утверждении результатов определения кадастровой стоимости земельных участков в составе земель особо охраняемых территорий и объектов, расположенных за границей населенных пунктов, на территории Хабаровского края"
Номер опубликования: 2700201701160004
Дата опубликования: 16.01.2017
Страница №4 из 9:
Увеличить