Официальное опубликование правовых актов
ОФИЦИАЛЬНОЕ ОПУБЛИКОВАНИЕ
Постановление Правительства Хабаровского края от 28.12.2016 № 501-пр
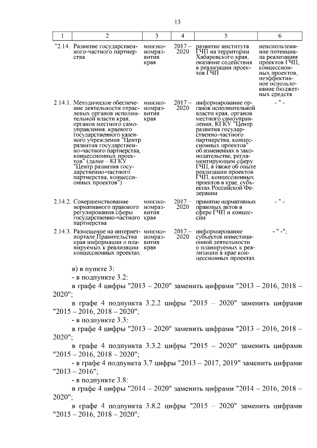
"О внесении изменений в государственную программу Хабаровского края "Развитие малого и среднего предпринимательства в Хабаровском крае на 2013 – 2020 годы", утвержденную постановлением Правительства Хабаровского края от 17 апреля 2012 г. № 124-пр"
Номер опубликования: 2700201701030008
Дата опубликования: 03.01.2017
Страница №13 из 64:
Увеличить