Официальное опубликование правовых актов
ОФИЦИАЛЬНОЕ ОПУБЛИКОВАНИЕ
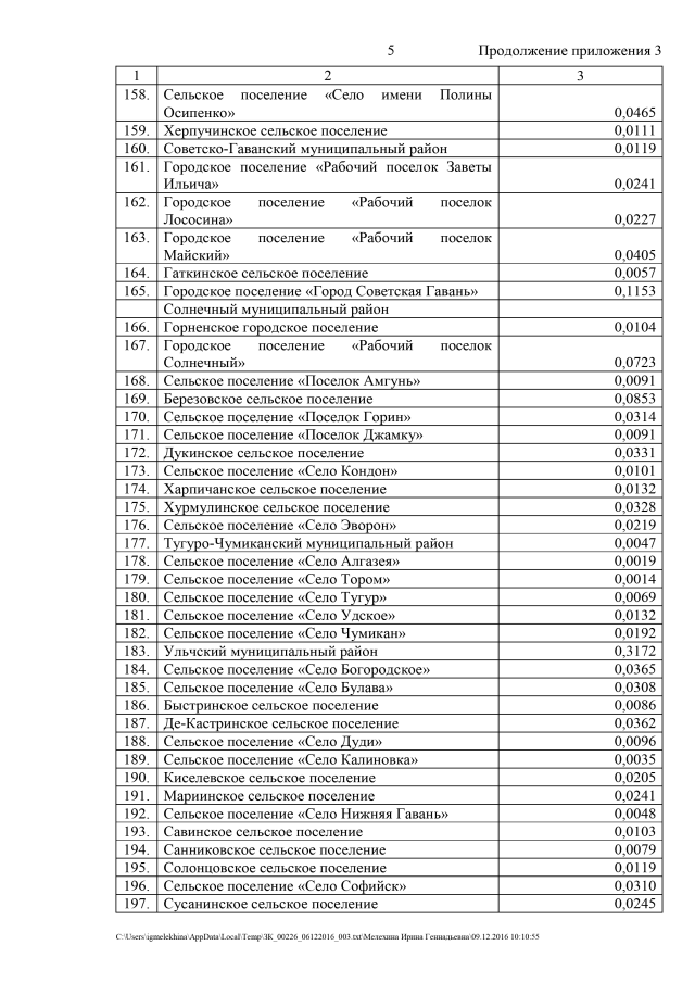
Закон Хабаровского края от 06.12.2016 № 226
"О краевом бюджете на 2017 год и на плановый период 2018 и 2019 годов"
Номер опубликования: 2700201612130009
Дата опубликования: 13.12.2016
Страница №27 из 1341:
Увеличить