Официальное опубликование правовых актов
ОФИЦИАЛЬНОЕ ОПУБЛИКОВАНИЕ
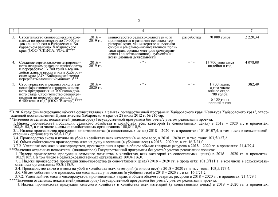
Постановление Правительства Хабаровского края от 18.11.2016 № 419-пр
"О внесении изменений в государственную программу Хабаровского края "Развитие сельского хозяйства и регулирование рынков сельскохозяйственной продукции, сырья и продовольствия в Хабаровском крае на 2013 – 2020 годы", утвержденную постановлением Правительства Хабаровского края от 17 августа 2012 г. № 277-пр"
Номер опубликования: 2700201611210005
Дата опубликования: 21.11.2016
Страница №11 из 17:
Увеличить