Официальное опубликование правовых актов
ОФИЦИАЛЬНОЕ ОПУБЛИКОВАНИЕ
Постановление Правительства Хабаровского края от 26.10.2016 № 382-пр
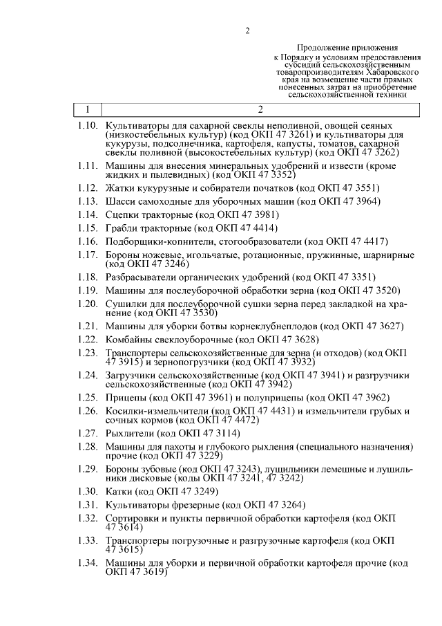
"Об утверждении Порядка и условий предоставления субсидий сельскохозяйственным товаропроизводителям Хабаровского края на возмещение части прямых понесенных затрат на приобретение сельскохозяйственной техники"
Номер опубликования: 2700201610280001
Дата опубликования: 28.10.2016
Страница №13 из 14:
Увеличить