Официальное опубликование правовых актов
ОФИЦИАЛЬНОЕ ОПУБЛИКОВАНИЕ
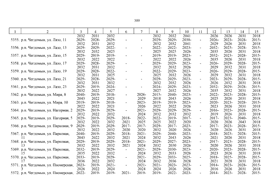
Постановление Правительства Хабаровского края от 30.12.2015 № 493-пр
"О внесении изменений в Программу капитального ремонта общего имущества в многоквартирных домах Хабаровского края на 2014 – 2043 годы, утвержденную постановлением Правительства Хабаровского края от 30 декабря 2013 г. № 479-пр"
Номер опубликования: 2700201512310002
Дата опубликования: 31.12.2015
Страница №301 из 436:
Увеличить