Официальное опубликование правовых актов
ОФИЦИАЛЬНОЕ ОПУБЛИКОВАНИЕ
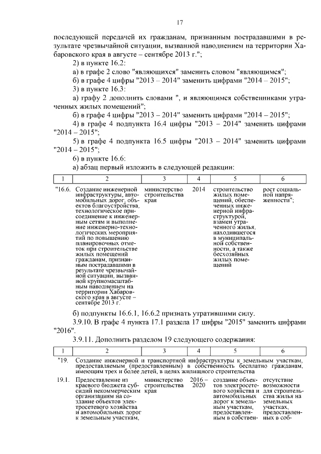
Постановление Правительства Хабаровского края от 25.12.2015 № 474-пр
"О внесении изменений в отдельные нормативные правовые акты Правительства Хабаровского края"
Номер опубликования: 2700201512300035
Дата опубликования: 30.12.2015
Страница №17 из 62:
Увеличить