Официальное опубликование правовых актов
ОФИЦИАЛЬНОЕ ОПУБЛИКОВАНИЕ
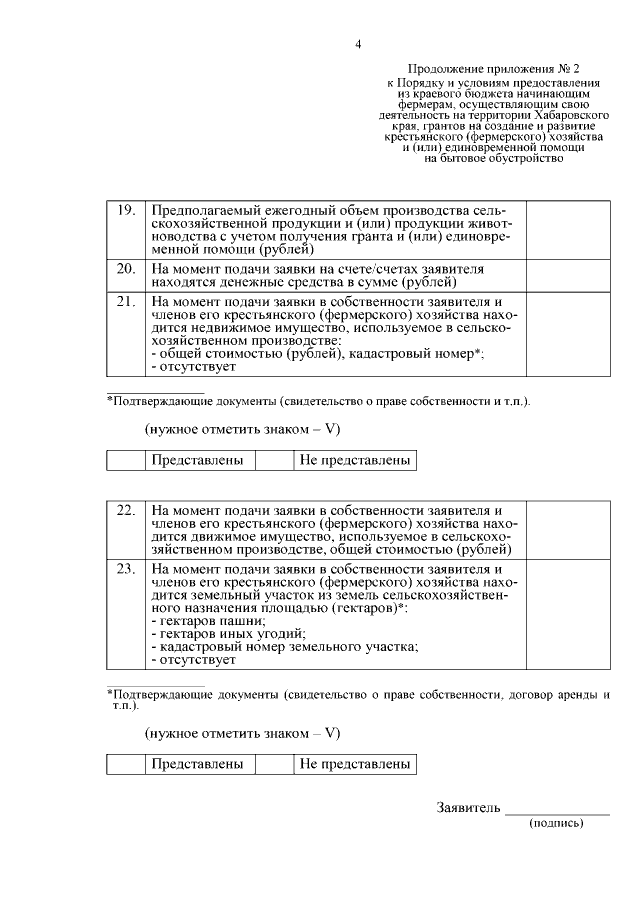
Постановление Правительства Хабаровского края от 22.12.2015 № 461-пр
"О порядке и об условиях предоставления отдельных мер краевой государственной поддержки, направленных на развитие малых форм хозяйствования в Хабаровском крае"
Номер опубликования: 2700201512230005
Дата опубликования: 23.12.2015
Страница №44 из 65:
Увеличить