Официальное опубликование правовых актов
ОФИЦИАЛЬНОЕ ОПУБЛИКОВАНИЕ
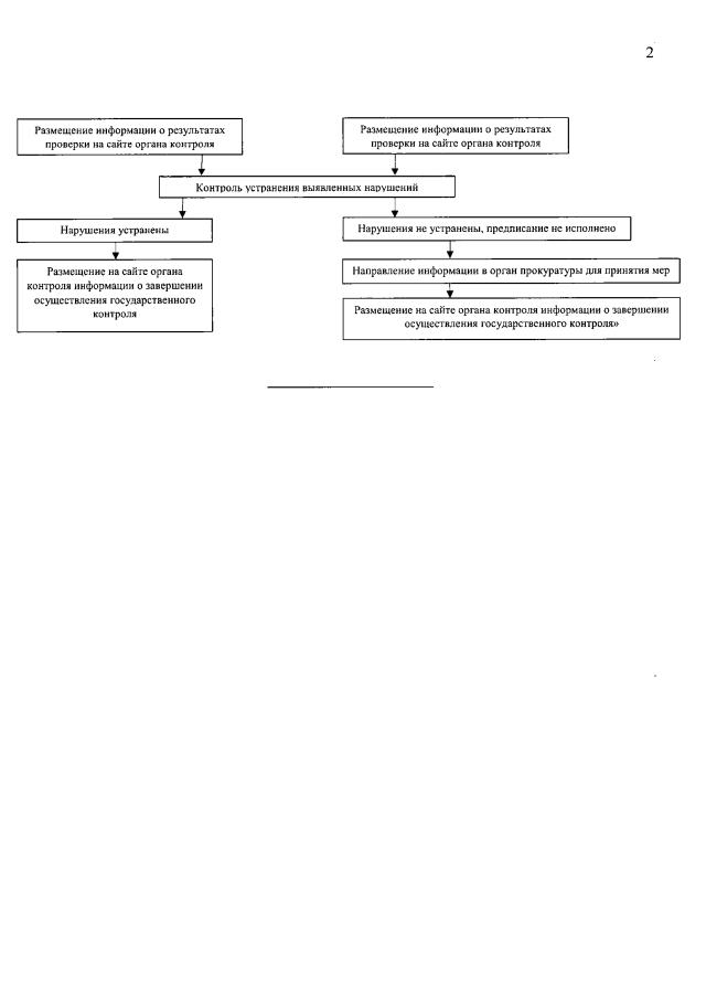
Приказ Министерства строительства и архитектуры Ставропольского края от 21.10.2022 № 545
"О внесении изменений в Административный регламент осуществления министерством строительства и архитектуры Ставропольского края государственного контроля за соблюдением органами местного самоуправления законодательства о градостроительной деятельности, утвержденный приказом министерства строительства и архитектуры Ставропольского края от 15 марта 2018 г. № 51"
Номер опубликования: 2601202210270001
Дата опубликования: 27.10.2022
Страница №10 из 12:
Увеличить