Официальное опубликование правовых актов
ОФИЦИАЛЬНОЕ ОПУБЛИКОВАНИЕ
Приказ Министерства труда и социальной защиты населения Ставропольского края от 17.06.2022 № 273
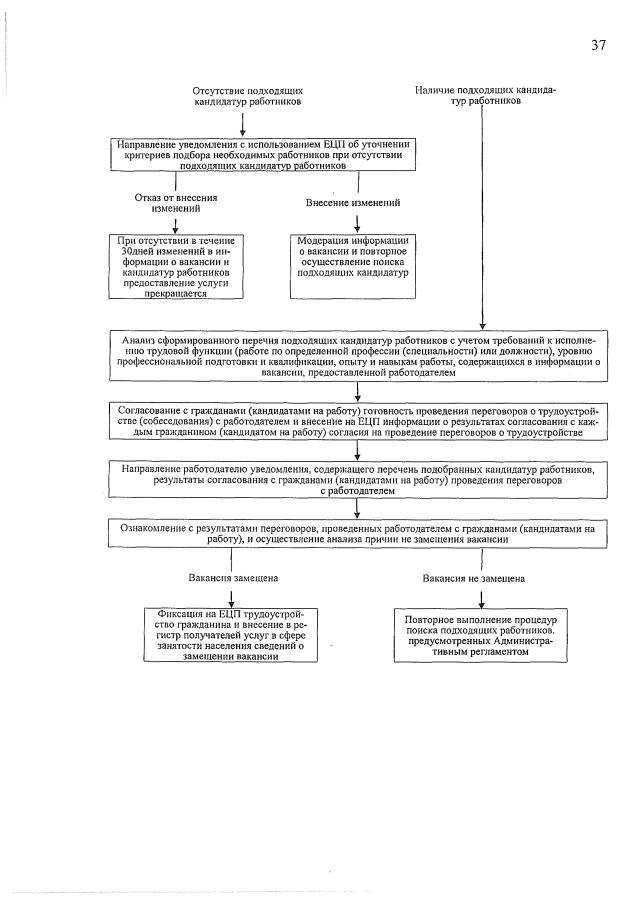
"Об утверждении административного регламента предоставления государственными учреждениями занятости населения Ставропольского края государственной услуги "Содействие работодателям в подборе необходимых работников "
Номер опубликования: 2601202206230001
Дата опубликования: 23.06.2022
Страница №37 из 37:
Увеличить