Официальное опубликование правовых актов
ОФИЦИАЛЬНОЕ ОПУБЛИКОВАНИЕ
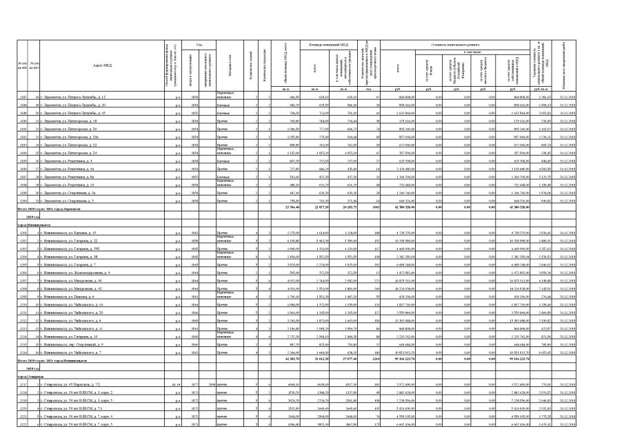
Приказ Министерства жилищно-коммунального хозяйства Ставропольского края от 21.08.2020 № 233 "О внесении изменения в Краткосрочный план реализации региональной программы капитального ремонта общего имущества в многоквартирных домах, расположенных на территории Ставропольского края, на 2017-2019 годы, утвержденный приказом министерства жилищно-коммунального хозяйства Ставропольского края от 04 апреля 2016 г. № 104"
Номер опубликования: 2601202008240002
Дата опубликования: 24.08.2020
Страница №37 из 138:
Увеличить