Официальное опубликование правовых актов
ОФИЦИАЛЬНОЕ ОПУБЛИКОВАНИЕ
Приказ Министерства труда и социальной защиты населения Ставропольского края от 11.03.2020 № 68
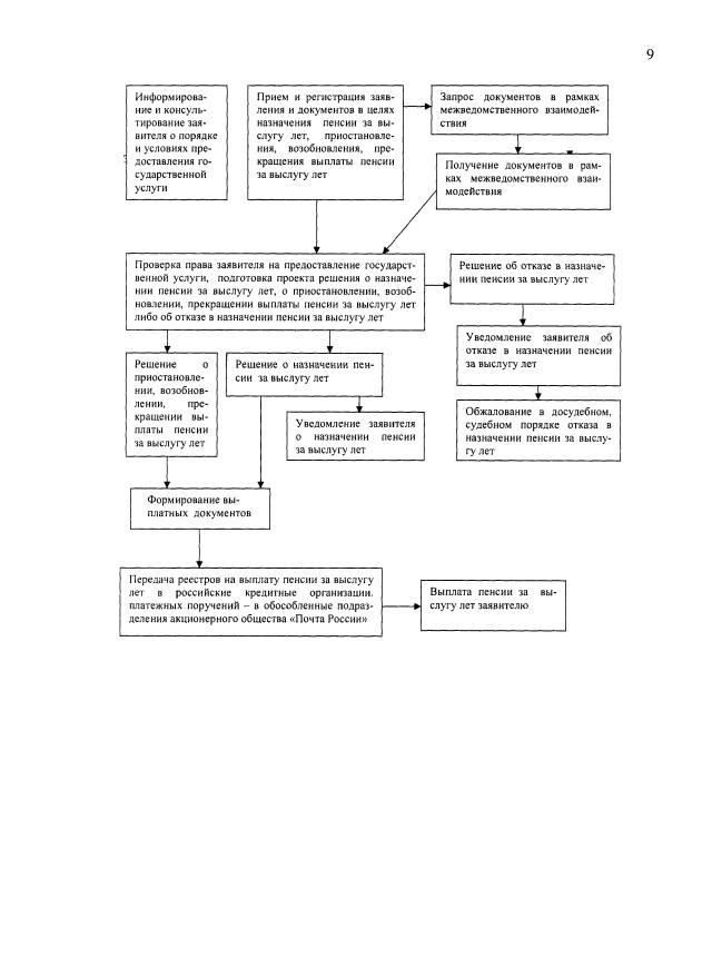
"О внесении изменений в некоторые приказы министерства труда и социальной защиты населения Ставропольского края об утверждении административных регламентов предоставления государственных услуг"
Номер опубликования: 2601202003170001
Дата опубликования: 17.03.2020
Страница №10 из 22:
Увеличить