Официальное опубликование правовых актов
ОФИЦИАЛЬНОЕ ОПУБЛИКОВАНИЕ
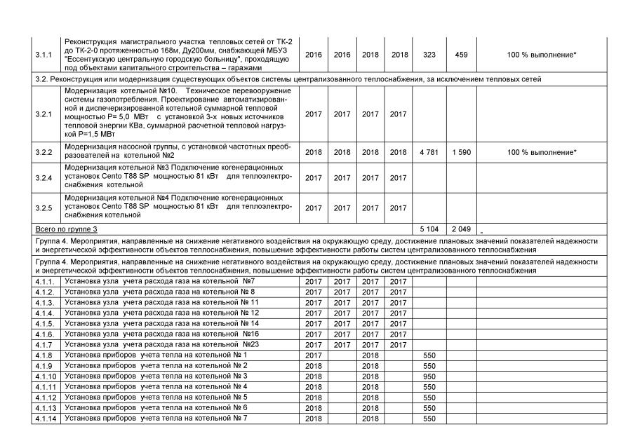
Приказ Министерства жилищно-коммунального хозяйства Ставропольского края от 01.08.2019 № 201
"Об утверждении инвестиционной программы АО "Энергоресурсы" в сфере теплоснабжения на 2020 – 2023 годы"
Номер опубликования: 2601201908050001
Дата опубликования: 05.08.2019
Страница №29 из 31:
Увеличить