Официальное опубликование правовых актов
ОФИЦИАЛЬНОЕ ОПУБЛИКОВАНИЕ
Приказ Министерства жилищно-коммунального хозяйства Ставропольского края от 31.05.2019 № 140
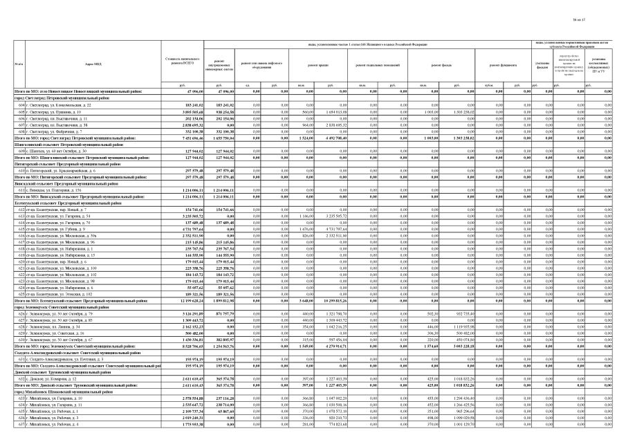
"О внесении изменения в Краткосрочный план реализации региональной программы капитального ремонта общего имущества в многоквартирных домах, расположенных на территории Ставропольского края, на 2014-2016 годы, утвержденный приказом министерства строительства, архитектуры и жилищно-коммунального хозяйства Ставропольского края от 11 сентября 2014 г. № 415"
Номер опубликования: 2601201906040002
Дата опубликования: 04.06.2019
Страница №32 из 53:
Увеличить