Официальное опубликование правовых актов
ОФИЦИАЛЬНОЕ ОПУБЛИКОВАНИЕ
Приказ Министерства жилищно-коммунального хозяйства Ставропольского края от 20.02.2019 № 39
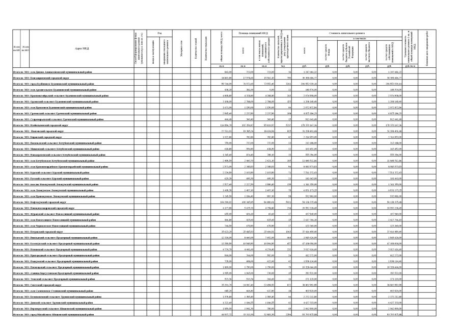
"О внесении изменения в Краткосрочный план реализации региональной программы капитального ремонта общего имущества в многоквартирных домах, расположенных на территории Ставропольского края, на 2017-2019 годы, утвержденный приказом министерства жилищно-коммунального хозяйства Ставропольского края от 04 апреля 2016 г. № 104"
Номер опубликования: 2601201903010001
Дата опубликования: 01.03.2019
Страница №57 из 147:
Увеличить