Официальное опубликование правовых актов
ОФИЦИАЛЬНОЕ ОПУБЛИКОВАНИЕ
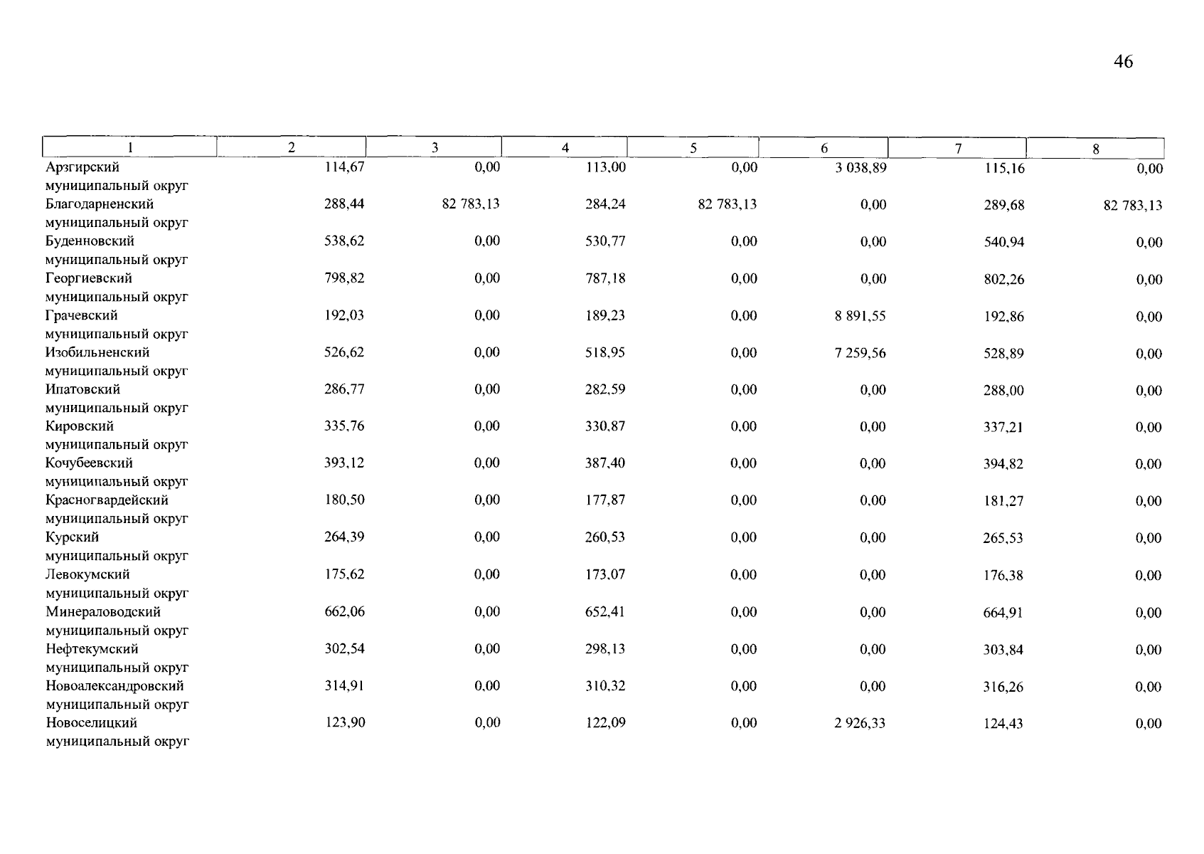
Закон Ставропольского края от 09.12.2024 № 137-кз
"О бюджете Ставропольского края на 2025 год и плановый период 2026 и 2027 годов"
Номер опубликования: 2600202412100004
Дата опубликования: 10.12.2024
Страница №665 из 769:
Увеличить