Официальное опубликование правовых актов
ОФИЦИАЛЬНОЕ ОПУБЛИКОВАНИЕ
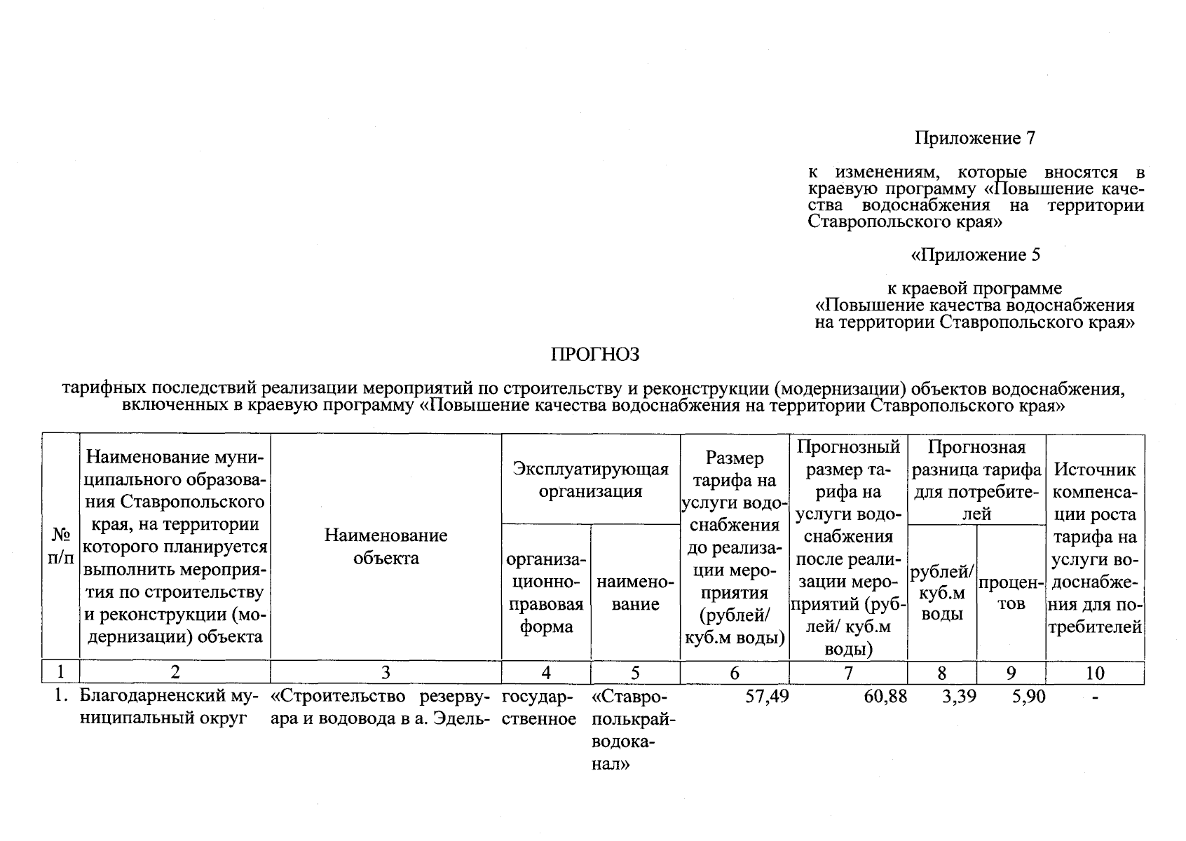
Постановление Правительства Ставропольского края от 29.11.2024 № 688-п
"О внесении изменений в краевую программу "Повышение качества водоснабжения на территории Ставропольского края", утвержденную постановлением Правительства Ставропольского края от 31 июля 2019 г. № 337-п"
Номер опубликования: 2600202412020009
Дата опубликования: 02.12.2024
Страница №86 из 91:
Увеличить