Официальное опубликование правовых актов
ОФИЦИАЛЬНОЕ ОПУБЛИКОВАНИЕ
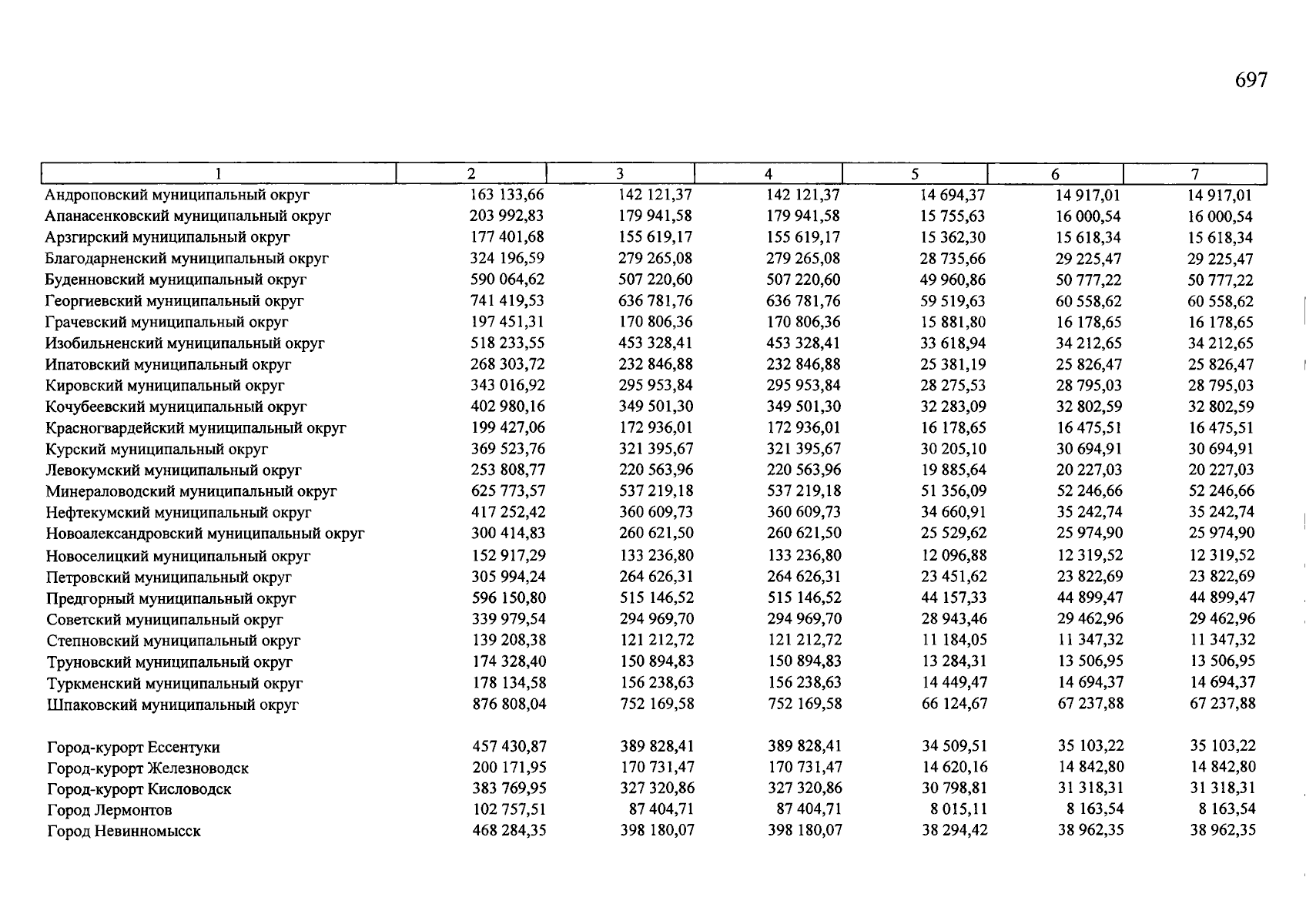
Закон Ставропольского края от 06.03.2024 № 18-кз
"О внесении изменений в Закон Ставропольского края "О бюджете Ставропольского края на 2024 год и плановый период 2025 и 2026 годов"
Номер опубликования: 2600202403070013
Дата опубликования: 07.03.2024
Страница №697 из 731:
Увеличить