Официальное опубликование правовых актов
ОФИЦИАЛЬНОЕ ОПУБЛИКОВАНИЕ
Постановление Правительства Ставропольского края от 13.12.2022 № 745-п
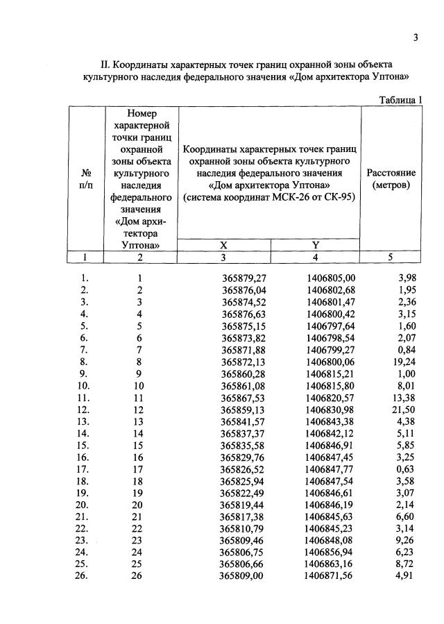
"Об установлении зон охраны объекта культурного наследия федерального значения "Дом архитектора Уптона", 1851 г., расположенного по адресу: Ставропольский край, г.Пятигорск, ул.Братьев Бернардацци, 1, и утверждении режимов использования земель и требований к градостроительным регламентам в границах территорий данных зон"
Номер опубликования: 2600202212160003
Дата опубликования: 16.12.2022
Страница №5 из 19:
Увеличить