Официальное опубликование правовых актов
ОФИЦИАЛЬНОЕ ОПУБЛИКОВАНИЕ
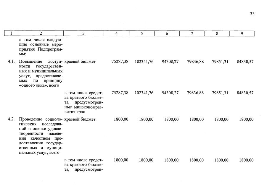
Постановление Правительства Ставропольского края от 30.03.2021 № 125-п "О внесении изменений в государственную программу Ставропольского края "Экономическое развитие и инновационная экономика", утвержденную постановлением Правительства Ставропольского края от 29 декабря 2018 г. № 626-п"
Номер опубликования: 2600202103310009
Дата опубликования: 31.03.2021
Страница №56 из 59:
Увеличить