Официальное опубликование правовых актов
ОФИЦИАЛЬНОЕ ОПУБЛИКОВАНИЕ
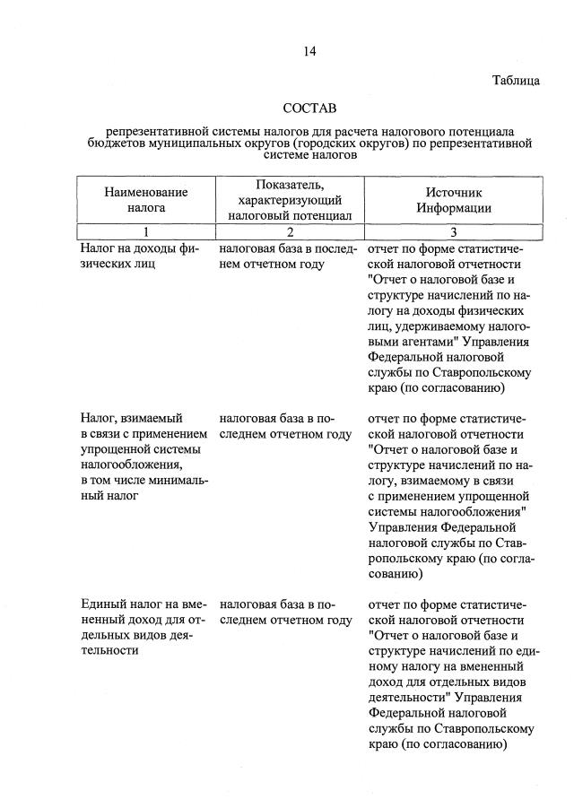
Закон Ставропольского края от 12.11.2020 № 124-кз
"О внесении изменений в Закон Ставропольского края "О межбюджетных отношениях в Ставропольском крае"
Номер опубликования: 2600202011140009
Дата опубликования: 14.11.2020
Страница №14 из 50:
Увеличить