Официальное опубликование правовых актов
ОФИЦИАЛЬНОЕ ОПУБЛИКОВАНИЕ
Постановление Правительства Ставропольского края от 01.04.2019 № 126-п
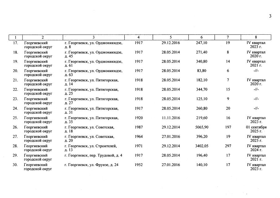
"Об утверждении краевой адресной программы "Переселение граждан из аварийного жилищного фонда в Ставропольском крае в 2019-2025 годах"
Номер опубликования: 2600201904100003
Дата опубликования: 10.04.2019
Страница №23 из 27:
Увеличить