Официальное опубликование правовых актов
ОФИЦИАЛЬНОЕ ОПУБЛИКОВАНИЕ
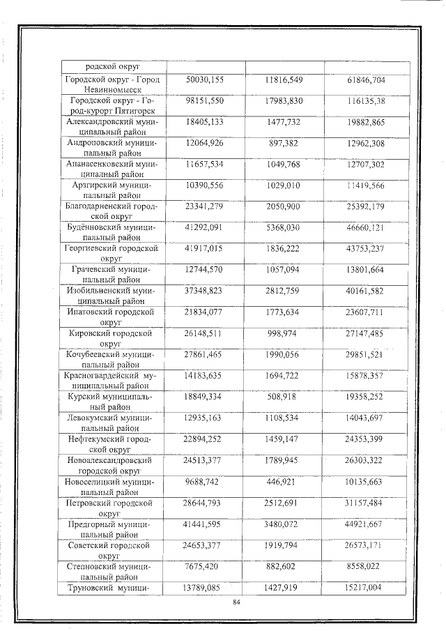
Постановление Правительства Ставропольского края от 01.10.2018 № 425-п
"О внесении изменения в территориальную схему обращения с отходами, в том числе с твердыми коммунальными отходами, в Ставропольском крае, утвержденную постановлением Правительства Ставропольского края от 22 сентября 2016 г. № 408-п"
Номер опубликования: 2600201810030002
Дата опубликования: 03.10.2018
Страница №86 из 1870:
Увеличить