Официальное опубликование правовых актов
ОФИЦИАЛЬНОЕ ОПУБЛИКОВАНИЕ
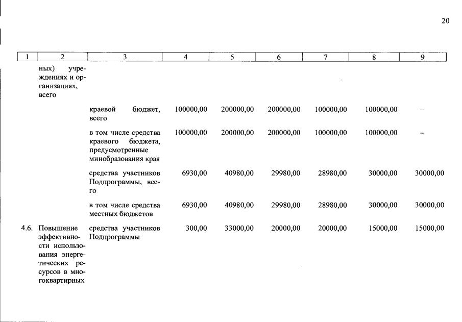
Постановление Правительства Ставропольского края от 28.03.2018 № 110-п
"О внесении изменений в государственную программу Ставропольского края "Развитие энергетики, промышленности и связи", утвержденную постановлением Правительства Ставропольского края от 30 декабря 2015 г. № 600-п"
Номер опубликования: 2600201803300006
Дата опубликования: 30.03.2018
Страница №35 из 43:
Увеличить