Официальное опубликование правовых актов
ОФИЦИАЛЬНОЕ ОПУБЛИКОВАНИЕ
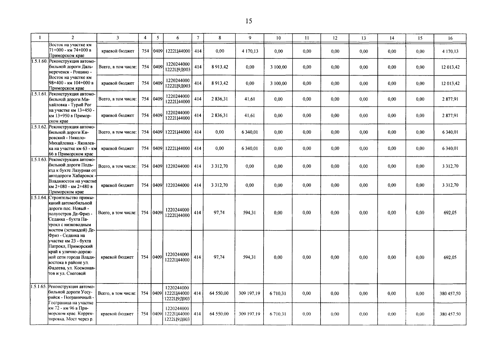
Постановление Правительства Приморского края от 12.02.2026 № 103-пп
"О внесении изменений в постановление Администрации Приморского края от 27 декабря 2019 года № 919-па "Об утверждении государственной программы Приморского края "Развитие транспортного комплекса Приморского края"
Номер опубликования: 2501202602130016
Дата опубликования: 13.02.2026
Страница №17 из 35:
Увеличить