Официальное опубликование правовых актов
ОФИЦИАЛЬНОЕ ОПУБЛИКОВАНИЕ
Постановление Правительства Приморского края от 29.01.2026 № 67-пп
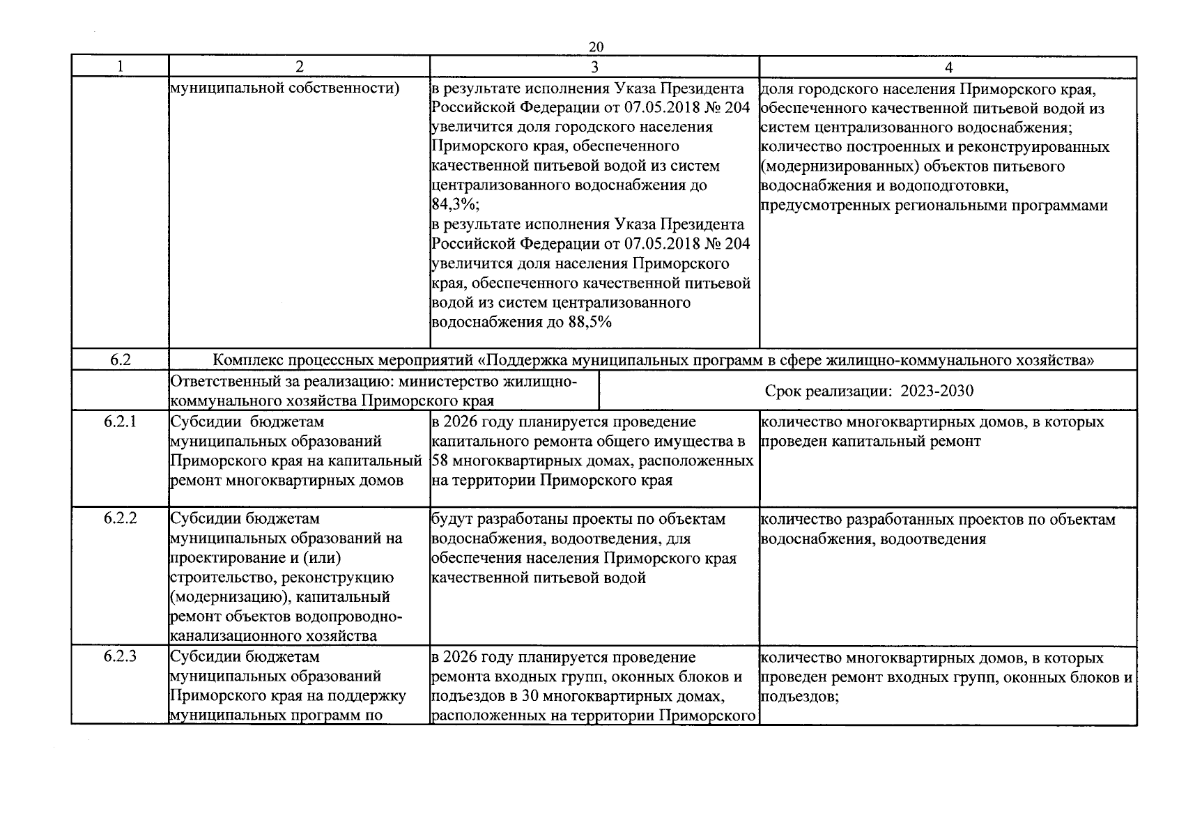
"О внесении изменений в постановление Администрации Приморского края от 30 декабря 2019 года № 945-па "Об утверждении государственной программы Приморского края "Обеспечение доступным жильем и качественными услугами жилищно- коммунального хозяйства населения Приморского края"
Номер опубликования: 2501202602020010
Дата опубликования: 02.02.2026
Страница №53 из 138:
Увеличить