Официальное опубликование правовых актов
ОФИЦИАЛЬНОЕ ОПУБЛИКОВАНИЕ
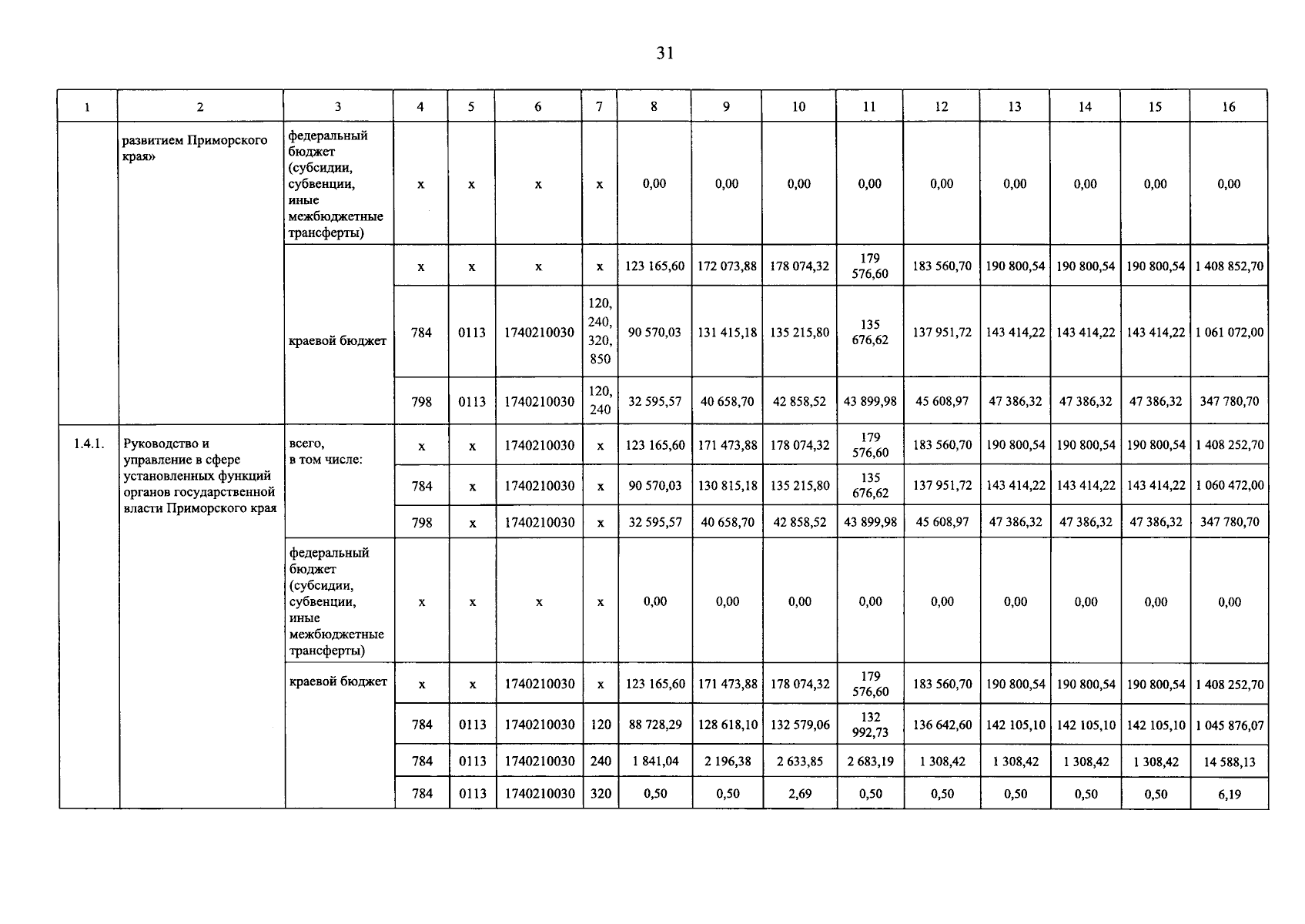
Постановление Правительства Приморского края от 26.01.2026 № 39-пп
"О внесении изменений в постановление Администрации Приморского края от 19 декабря 2019 года № 860-па "Об утверждении государственной программы Приморского края "Экономическое развитие и инновационная экономика Приморского края"
Номер опубликования: 2501202601280001
Дата опубликования: 28.01.2026
Страница №44 из 83:
Увеличить