Официальное опубликование правовых актов
ОФИЦИАЛЬНОЕ ОПУБЛИКОВАНИЕ
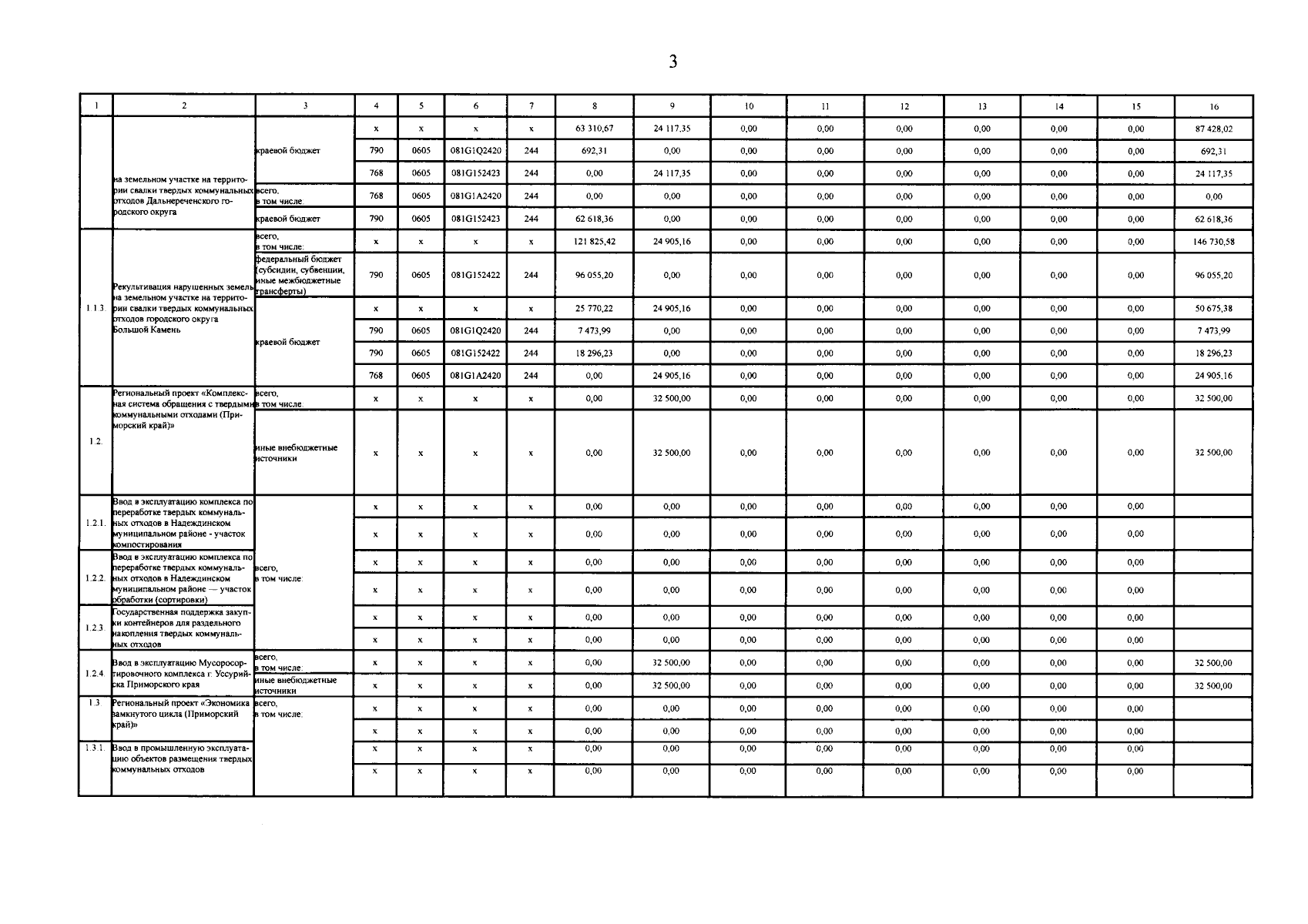
Постановление Правительства Приморского края от 23.01.2026 № 22-пп
"О внесении изменений в постановление Администрации Приморского края от 27 декабря 2019 года № 940-па "Об утверждении государственной программы Приморского края "Охрана окружающей среды Приморского края"
Номер опубликования: 2501202601260006
Дата опубликования: 26.01.2026
Страница №40 из 55:
Увеличить