Официальное опубликование правовых актов
ОФИЦИАЛЬНОЕ ОПУБЛИКОВАНИЕ
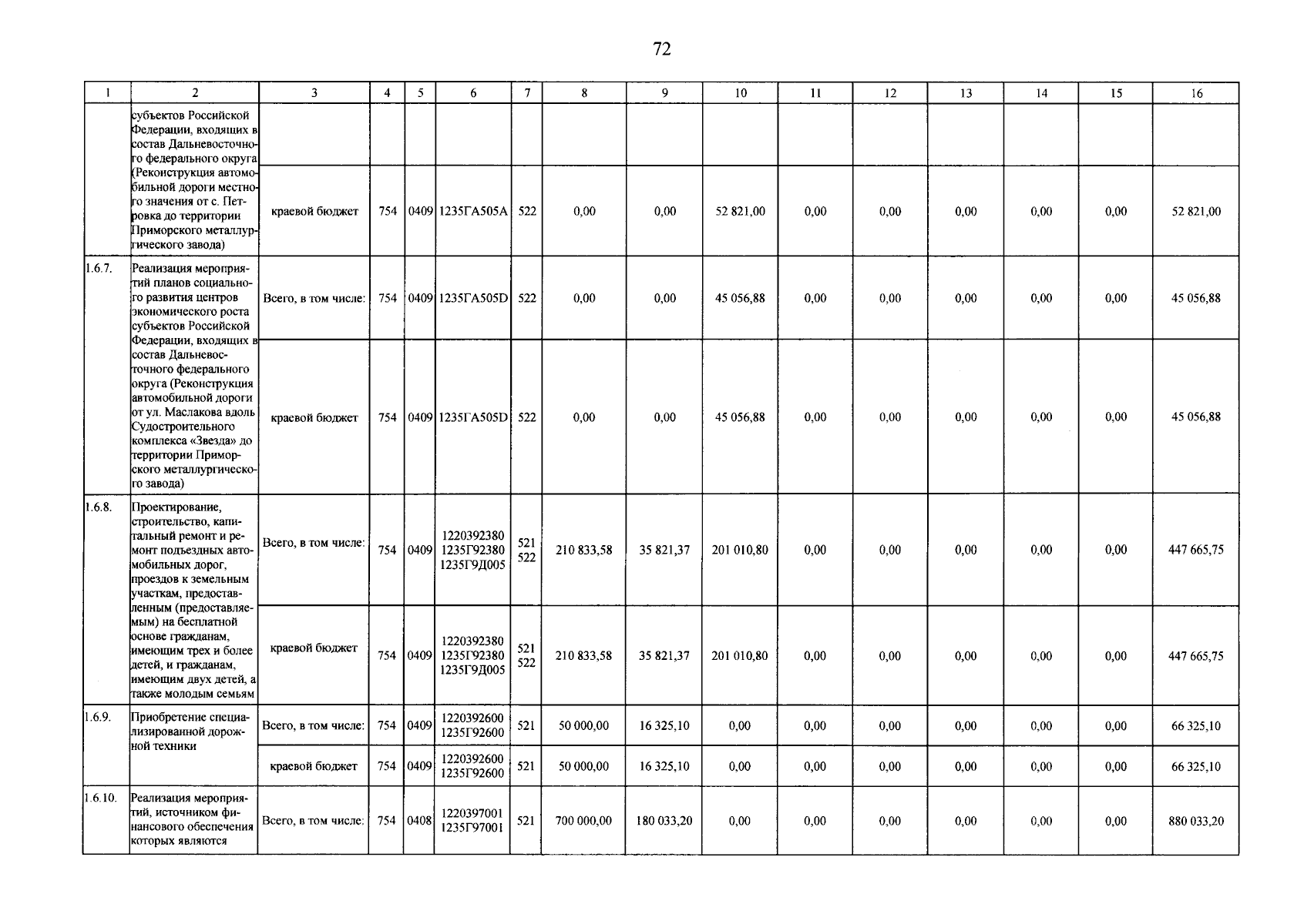
Постановление Правительства Приморского края от 29.12.2025 № 1012-пп
"О внесении изменений в постановление Администрации Приморского края от 27 декабря 2019 года № 919-па "Об утверждении государственной программы Приморского края "Развитие транспортного комплекса Приморского края"
Номер опубликования: 2501202601030003
Дата опубликования: 03.01.2026
Страница №74 из 89:
Увеличить