Официальное опубликование правовых актов
ОФИЦИАЛЬНОЕ ОПУБЛИКОВАНИЕ
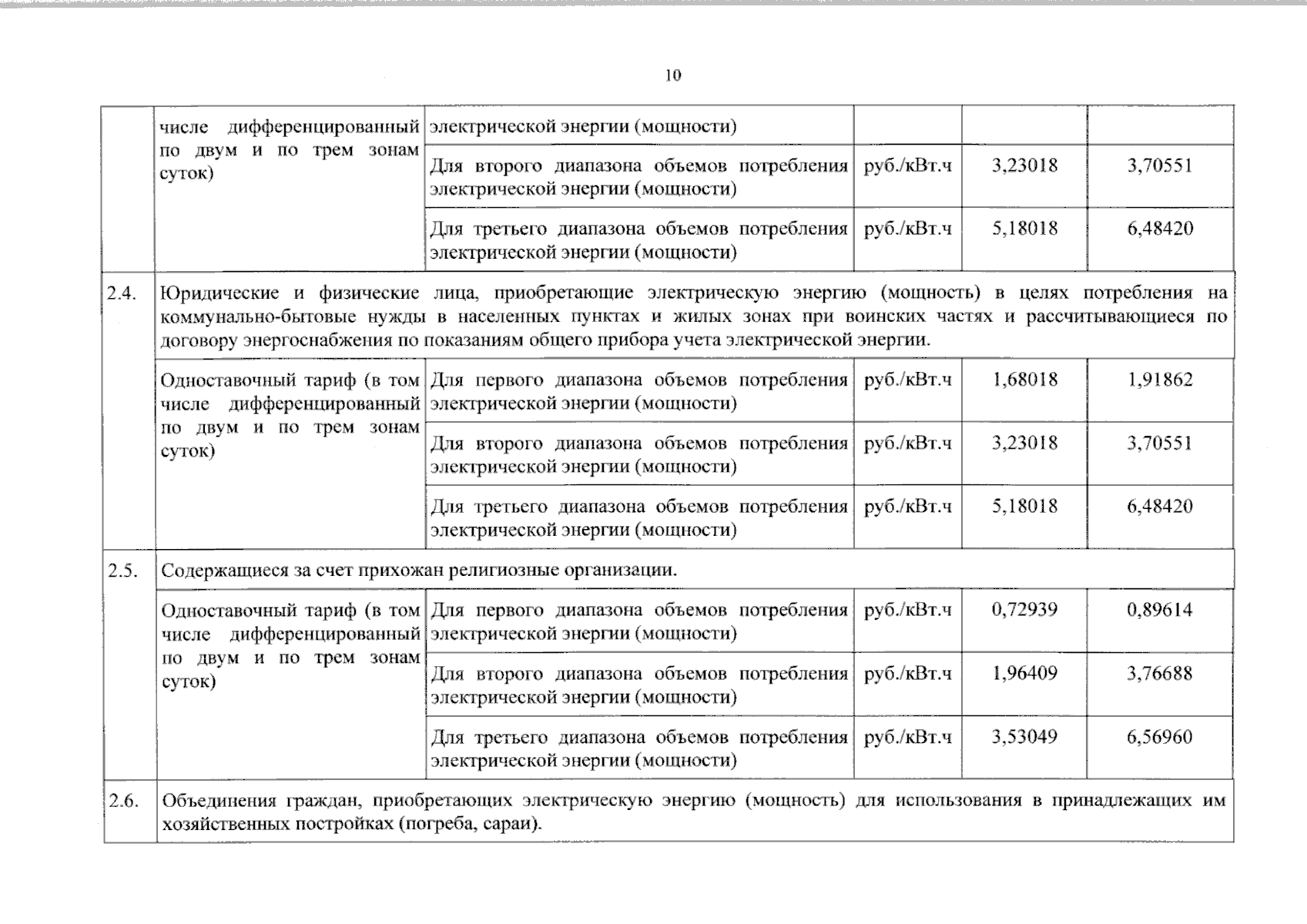
Постановление Агентства по тарифам Приморского края от 25.12.2025 № 67/4
"О внесении изменений в постановление агентства по тарифам Приморского края от 25 ноября 2022 года № 65/22 "Об установлении единых (котловых) тарифов на услуги по передаче электрической энергии по сетям Приморского края"
(Зарегистрирован 26.12.2025 № 3023)
Номер опубликования: 2501202512290016
Дата опубликования: 29.12.2025
Страница №52 из 53:
Увеличить