Официальное опубликование правовых актов
ОФИЦИАЛЬНОЕ ОПУБЛИКОВАНИЕ
Постановление Агентства по тарифам Приморского края от 10.12.2025 № 61/6
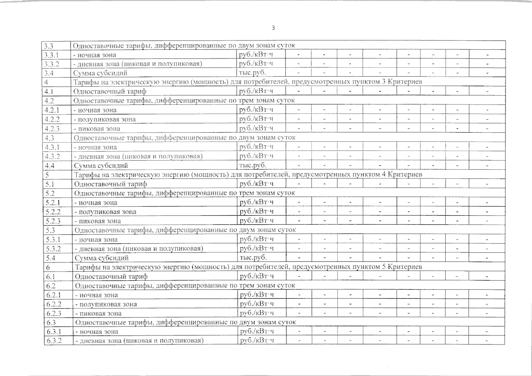
"О внесении изменений в постановление агентства по тарифам Приморского края от 25 ноября 2022 года № 65/4 "Об установлении цен (тарифов) на электрическую энергию (мощность), поставляемую ООО "ДВ Энергетика" (гарантирующий поставщик) покупателям в/ч пгт Терней и в/ч с. Малая Кема Тернейского муниципального округа, в/ч с. Чугуевка Чугуевского муниципального округа, в/ч пос. Тимофеевка Ольгинского муниципального округа Приморского края на розничных рынках, расположенных на территориях, технологически не связанных с Единой энергетической системой России и технологически изолированными территориальными электроэнергетическими системами, за исключением населения и (или) приравненных к нему категорий потребителей"
(Зарегистрирован 15.12.2025 № 2800)
Номер опубликования: 2501202512170083
Дата опубликования: 17.12.2025
Страница №10 из 12:
Увеличить