Постановление Агентства по тарифам Приморского края от 10.12.2025 № 61/11
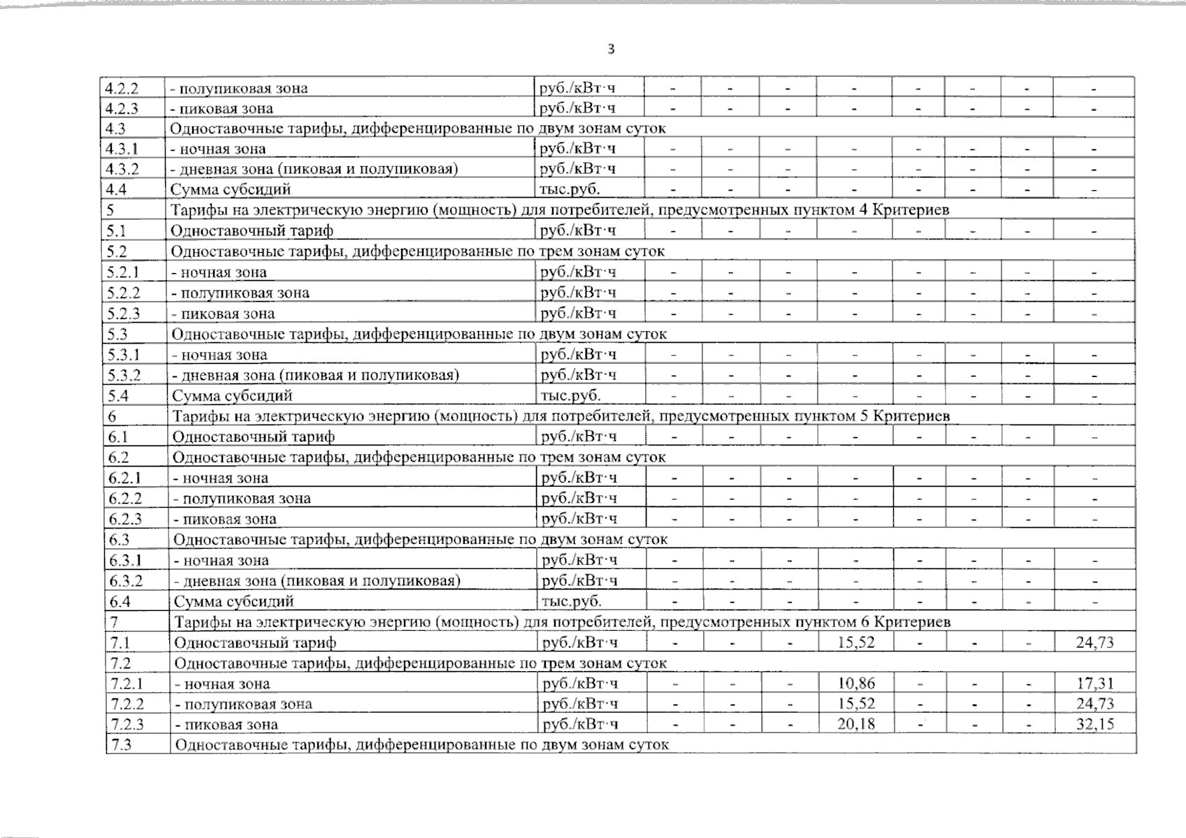
"Об установлении цен (тарифов) на электрическую энергию (мощность), поставляемую покупателям в/ч пгт Терней и в/ч с. Малая Кема Тернейского муниципального округа, в/ч с. Чугуевка Чугуевского муниципального округа, в/ч пос. Тимофеевка Ольгинского муниципального округа Приморского края на розничных рынках, расположенных на территориях, технологически не связанных с Единой энергетической системой России и технологически изолированными территориальными электроэнергетическими системами, за исключением населения и (или) приравненных к нему категорий потребителей, энергосбытовой организацией ПАО "Дальневосточная энергетическая компания"
(Зарегистрирован 16.12.2025 № 2854)
"Об установлении цен (тарифов) на электрическую энергию (мощность), поставляемую покупателям в/ч пгт Терней и в/ч с. Малая Кема Тернейского муниципального округа, в/ч с. Чугуевка Чугуевского муниципального округа, в/ч пос. Тимофеевка Ольгинского муниципального округа Приморского края на розничных рынках, расположенных на территориях, технологически не связанных с Единой энергетической системой России и технологически изолированными территориальными электроэнергетическими системами, за исключением населения и (или) приравненных к нему категорий потребителей, энергосбытовой организацией ПАО "Дальневосточная энергетическая компания"
(Зарегистрирован 16.12.2025 № 2854)
Номер опубликования: 2501202512170077
Дата опубликования:
17.12.2025
