Официальное опубликование правовых актов
ОФИЦИАЛЬНОЕ ОПУБЛИКОВАНИЕ
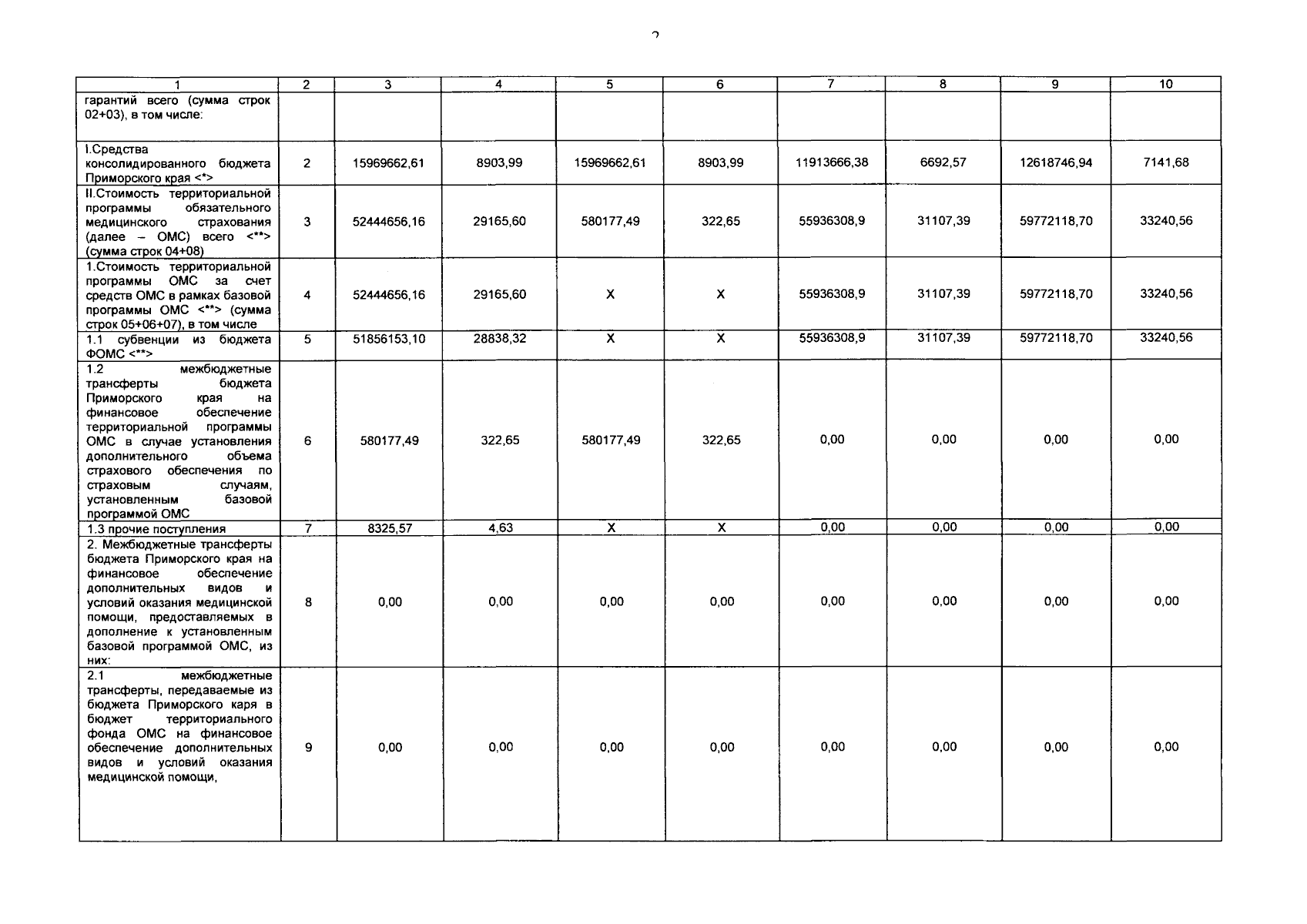
Постановление Правительства Приморского края от 26.11.2025 № 868-пп
"О внесении изменений в постановление Правительства Приморского края от 27 декабря 2024 года № 944-пп "О территориальной программе государственных гарантий бесплатного оказания гражданам медицинской помощи в Приморском крае на 2025 год и на плановый период 2026 и 2027 годов"
Номер опубликования: 2501202511270037
Дата опубликования: 27.11.2025
Страница №4 из 42:
Увеличить