Официальное опубликование правовых актов
ОФИЦИАЛЬНОЕ ОПУБЛИКОВАНИЕ
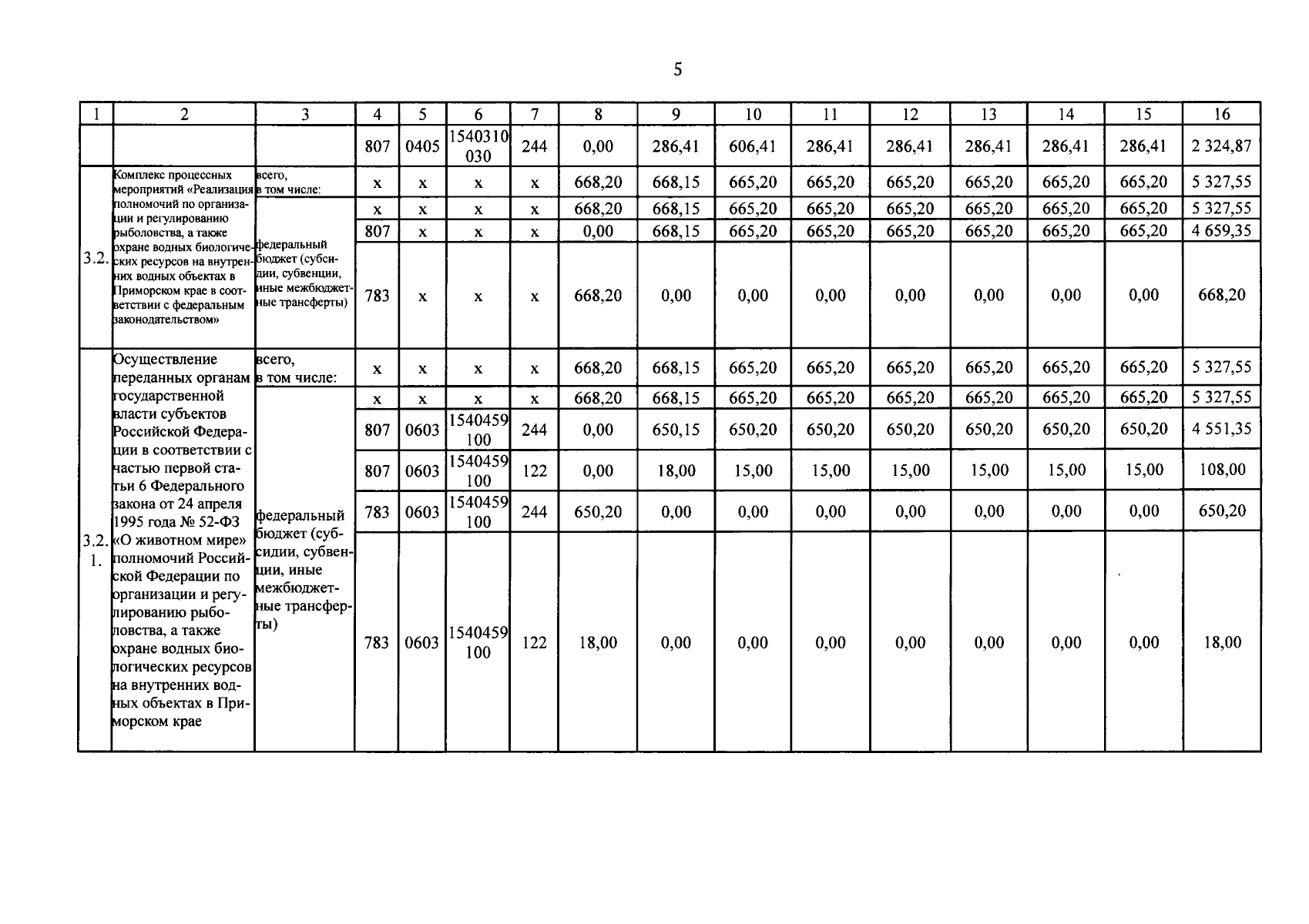
Постановление Правительства Приморского края от 10.11.2025 № 820-пп
"О внесении изменений в постановление Администрации Приморского края от 27 декабря 2019 года № 921-па "Об утверждении государственной программы Приморского края "Развитие рыбохозяйственного комплекса в Приморском крае"
Номер опубликования: 2501202511120004
Дата опубликования: 12.11.2025
Страница №9 из 10:
Увеличить