Официальное опубликование правовых актов
ОФИЦИАЛЬНОЕ ОПУБЛИКОВАНИЕ
Постановление Правительства Приморского края от 30.09.2025 № 749-пп
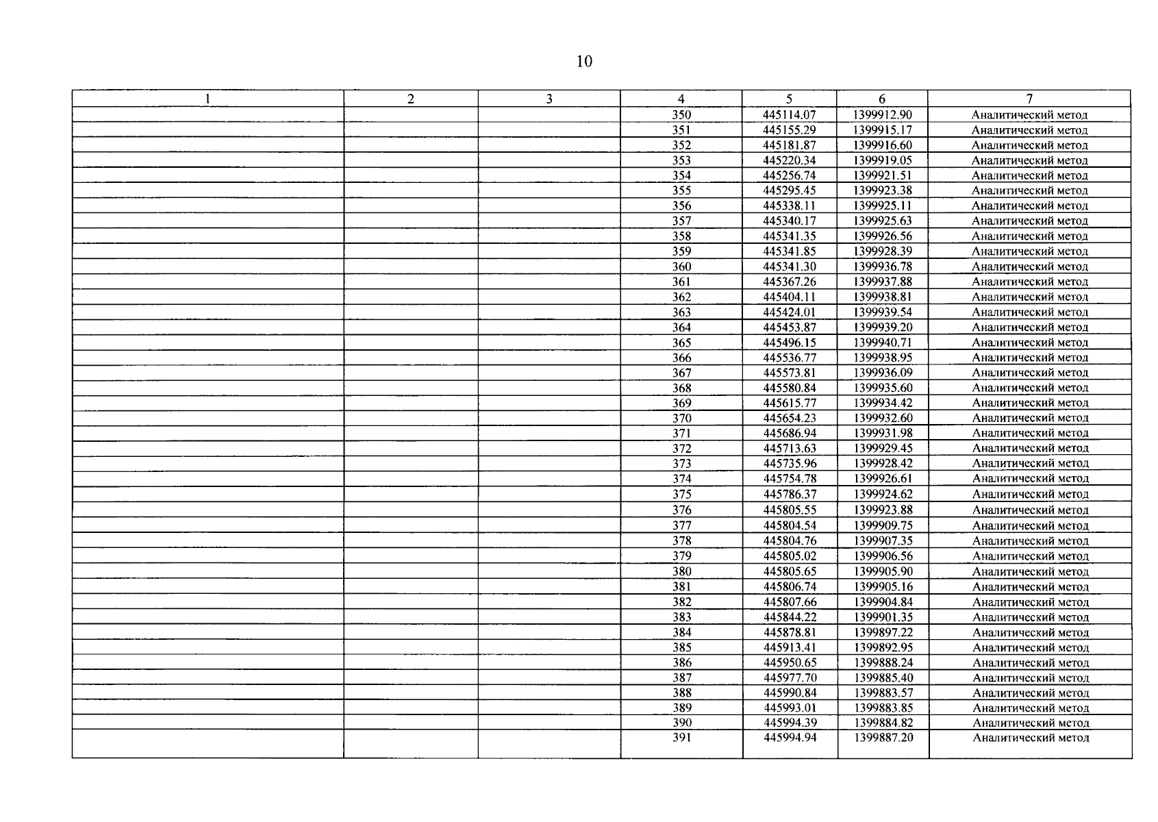
"О внесении изменений в постановление Администрации Приморского края от 22 мая 2019 года № 294-па "Об утверждении границ охранных зон газораспределительных сетей и наложении ограничений (обременений) на входящие в них земельные участки на территориях Уссурийского городского округа, Михайловского муниципального района, городского округа Большой Камень Приморского края"
Номер опубликования: 2501202510020010
Дата опубликования: 02.10.2025
Страница №12 из 69:
Увеличить