Официальное опубликование правовых актов
ОФИЦИАЛЬНОЕ ОПУБЛИКОВАНИЕ
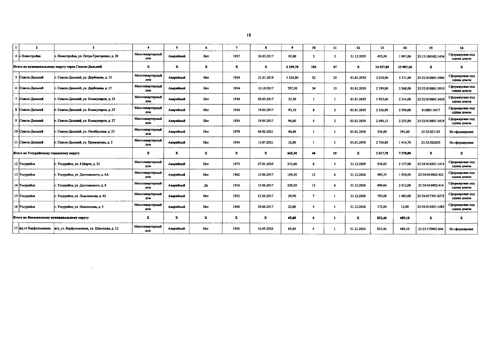
Постановление Правительства Приморского края от 28.08.2025 № 686-пп
"Об утверждении региональной адресной программы "Переселение граждан из аварийного жилищного фонда в Приморском крае" на 2025-2026 годы"
Номер опубликования: 2501202509020013
Дата опубликования: 02.09.2025
Страница №39 из 55:
Увеличить