Официальное опубликование правовых актов
ОФИЦИАЛЬНОЕ ОПУБЛИКОВАНИЕ
Постановление Правительства Приморского края от 31.07.2025 № 632-пп
"О внесении изменений в постановление Администрации Приморского края от 25 декабря 2019 года № 904-па "Об утверждении государственной программы Приморского края "Безопасный край"
Номер опубликования: 2501202508010004
Дата опубликования: 01.08.2025
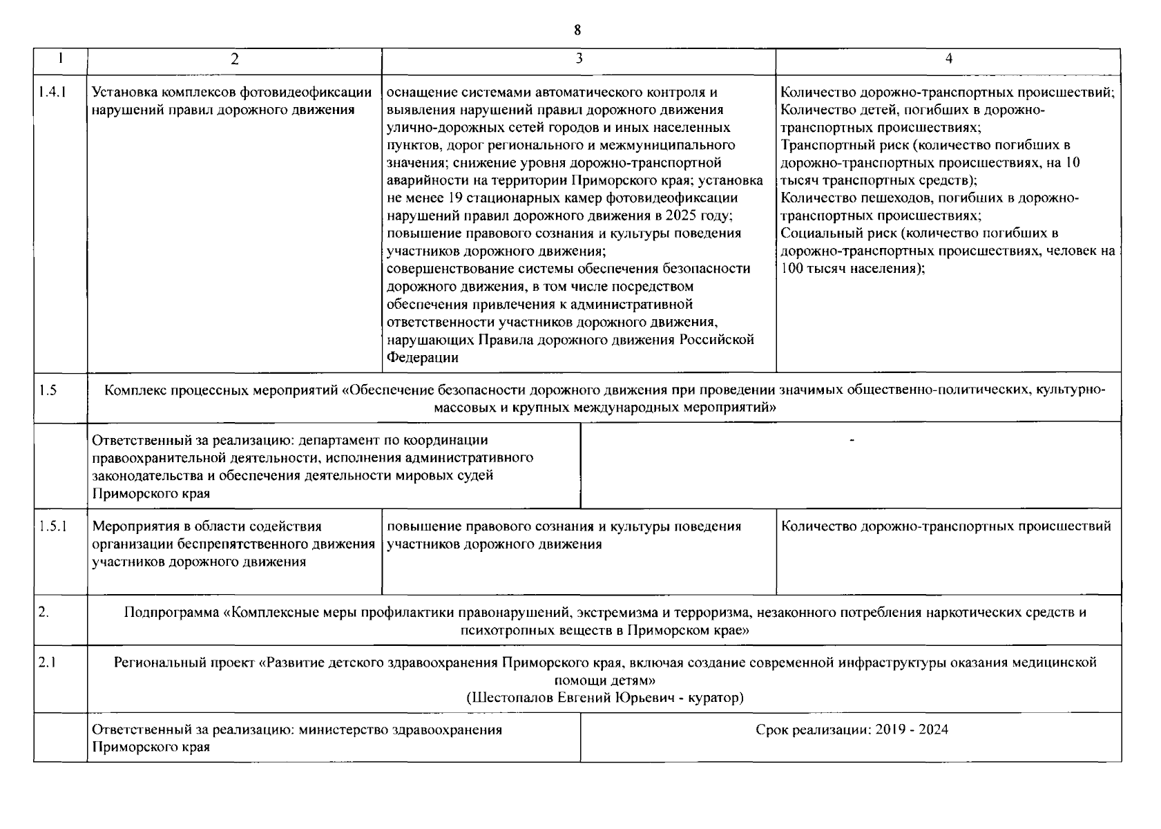
Страница №16 из 50:
Увеличить