Официальное опубликование правовых актов
ОФИЦИАЛЬНОЕ ОПУБЛИКОВАНИЕ
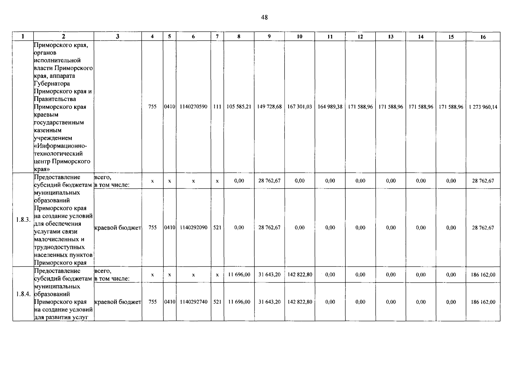
Постановление Правительства Приморского края от 10.07.2025 № 580-пп
"О внесении изменений в постановление Администрации Приморского края от 2 июля 2019 года № 418-па "Об утверждении государственной программы Приморского края "Информационное общество"
Номер опубликования: 2501202507110043
Дата опубликования: 11.07.2025
Страница №50 из 64:
Увеличить