Официальное опубликование правовых актов
ОФИЦИАЛЬНОЕ ОПУБЛИКОВАНИЕ
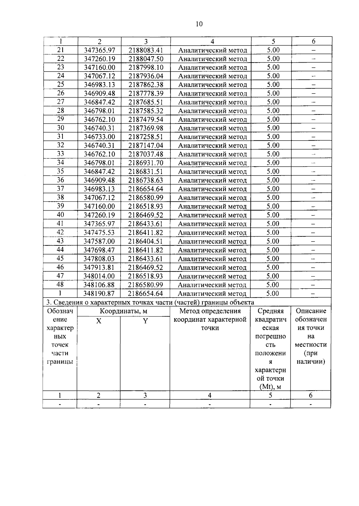
Постановление Правительства Приморского края от 25.06.2025 № 539-пп
"Об установлении зон санитарной охраны для водозабора станции "Стрелковая", расположенного на территории городского округа ЗАТО Фокино Приморского края"
Номер опубликования: 2501202506270004
Дата опубликования: 27.06.2025
Страница №12 из 20:
Увеличить