Официальное опубликование правовых актов
ОФИЦИАЛЬНОЕ ОПУБЛИКОВАНИЕ
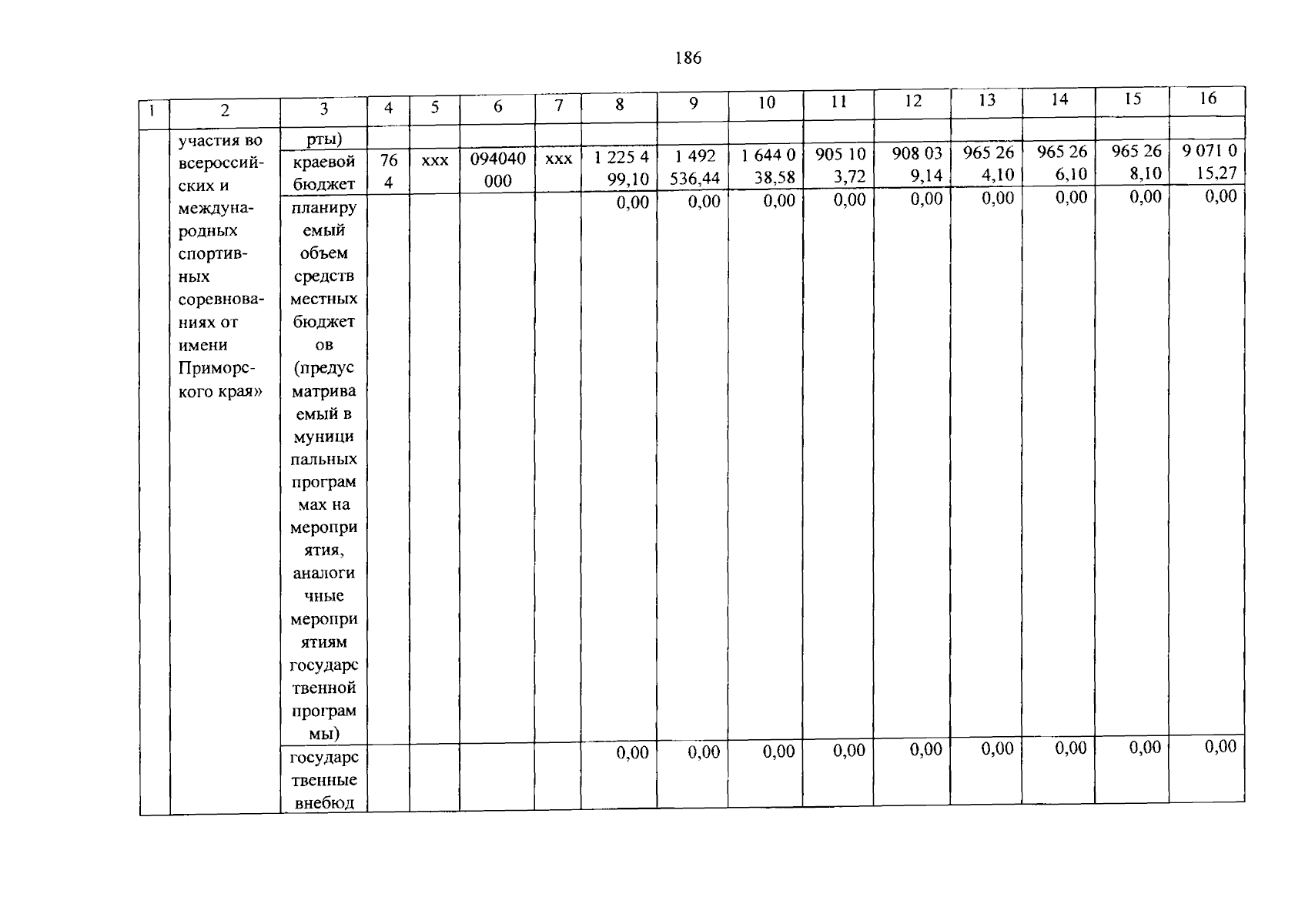
Постановление Правительства Приморского края от 06.06.2025 № 487-пп
"О внесении изменений в постановление Администрации Приморского края от 27 декабря 2019 года № 920-па "Об утверждении государственной программы Приморского края "Развитие физической культуры и спорта Приморского края"
Номер опубликования: 2501202506090004
Дата опубликования: 09.06.2025
Страница №190 из 246:
Увеличить