Официальное опубликование правовых актов
ОФИЦИАЛЬНОЕ ОПУБЛИКОВАНИЕ
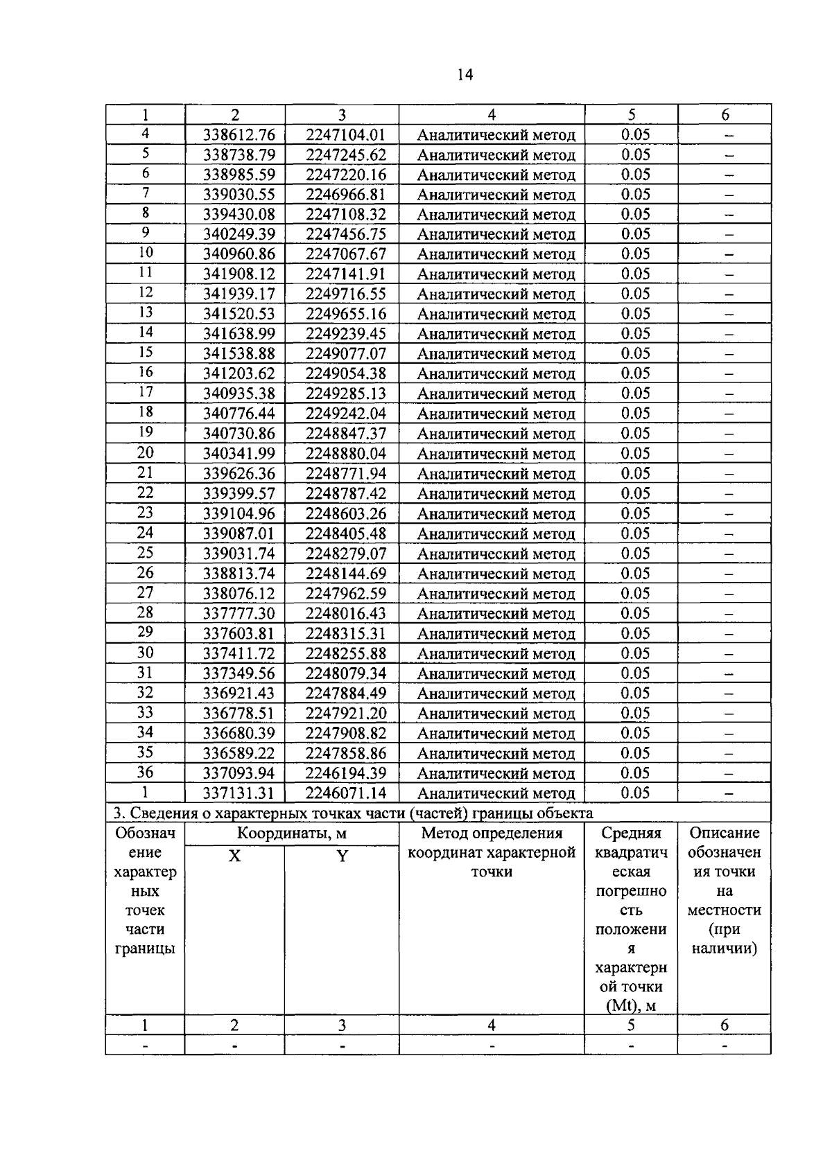
Постановление Правительства Приморского края от 21.05.2025 № 431-пп
"Об установлении зон санитарной охраны для водозабора "Находкинский", расположенного в 1,5 км восточнее с. Екатериновка Партизанского муниципального округа Приморского края"
Номер опубликования: 2501202505220001
Дата опубликования: 22.05.2025
Страница №16 из 25:
Увеличить