Официальное опубликование правовых актов
ОФИЦИАЛЬНОЕ ОПУБЛИКОВАНИЕ
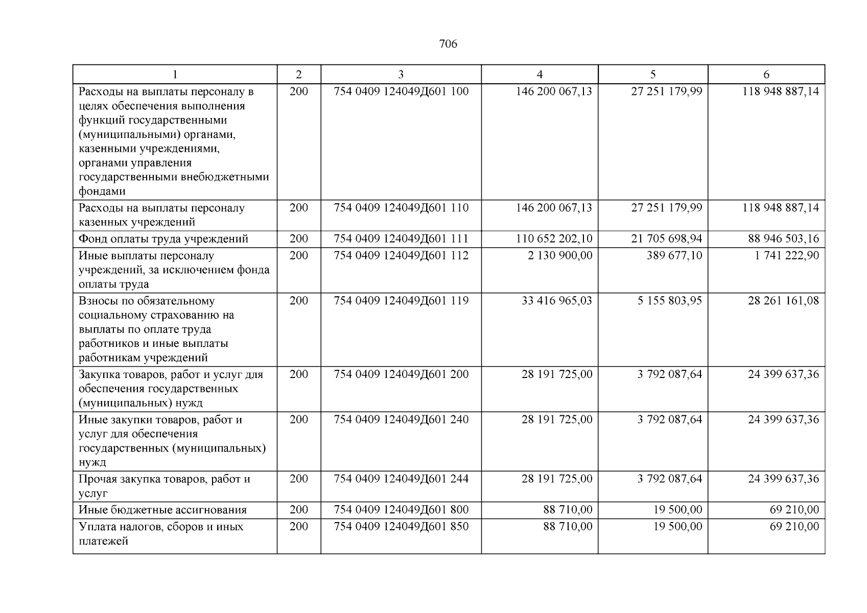
Распоряжение Правительства Приморского края от 30.04.2025 № 255-рп
"Об утверждении отчёта об исполнении краевого бюджета за I квартал 2025 года"
Номер опубликования: 2501202505010001
Дата опубликования: 01.05.2025
Страница №707 из 955:
Увеличить