Официальное опубликование правовых актов
ОФИЦИАЛЬНОЕ ОПУБЛИКОВАНИЕ
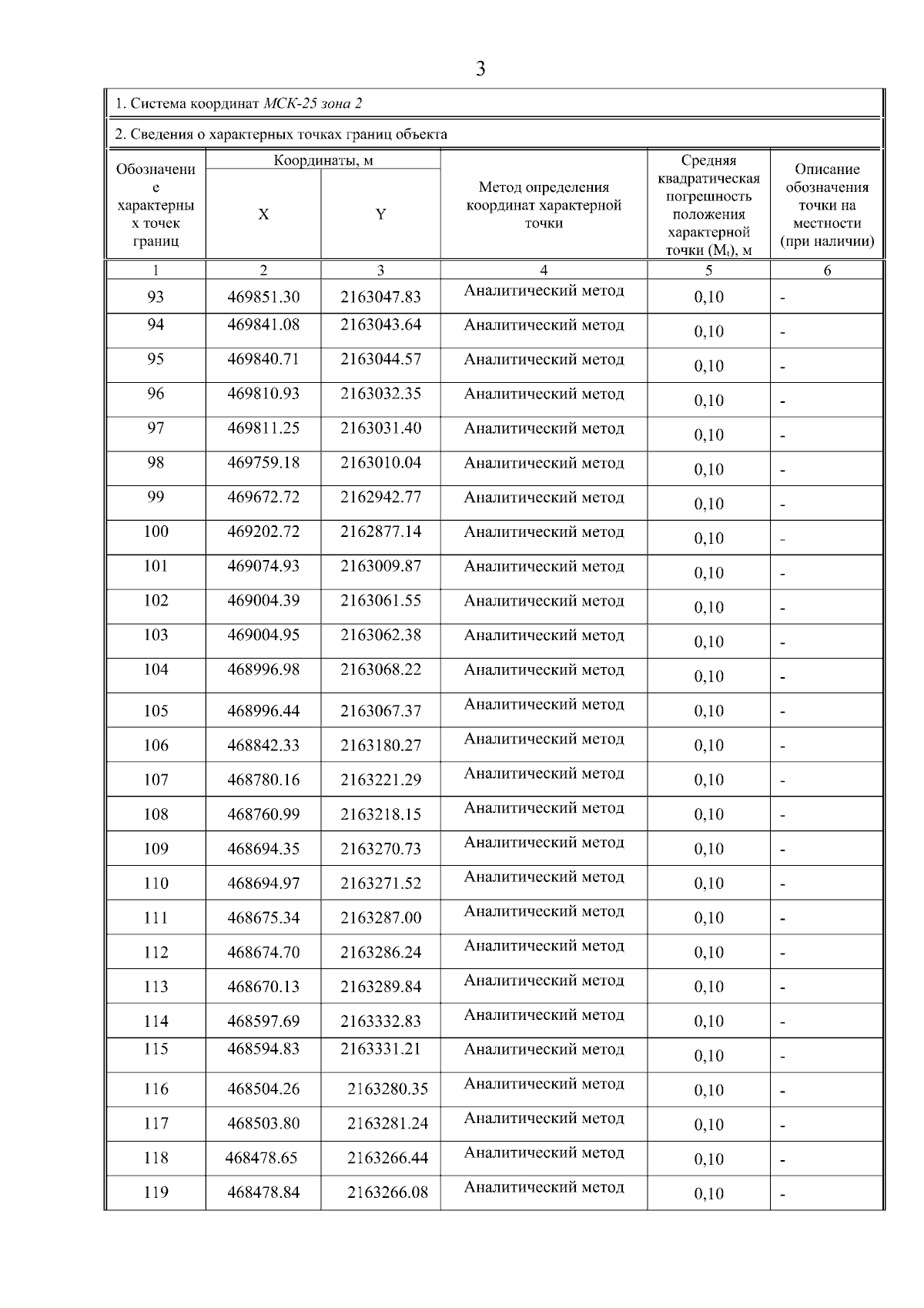
Приказ Министерства энергетики и газоснабжения Приморского края от 04.04.2025 № 45пр-89
"Об утверждении границ охранной зоны газораспределительной сети и наложении ограничений (обременений) на входящие в них земельные участки на территории Михайловского муниципального округа"
(Зарегистрирован 08.04.2025 № 2201)
Номер опубликования: 2501202504100002
Дата опубликования: 10.04.2025
Страница №5 из 14:
Увеличить