Официальное опубликование правовых актов
ОФИЦИАЛЬНОЕ ОПУБЛИКОВАНИЕ
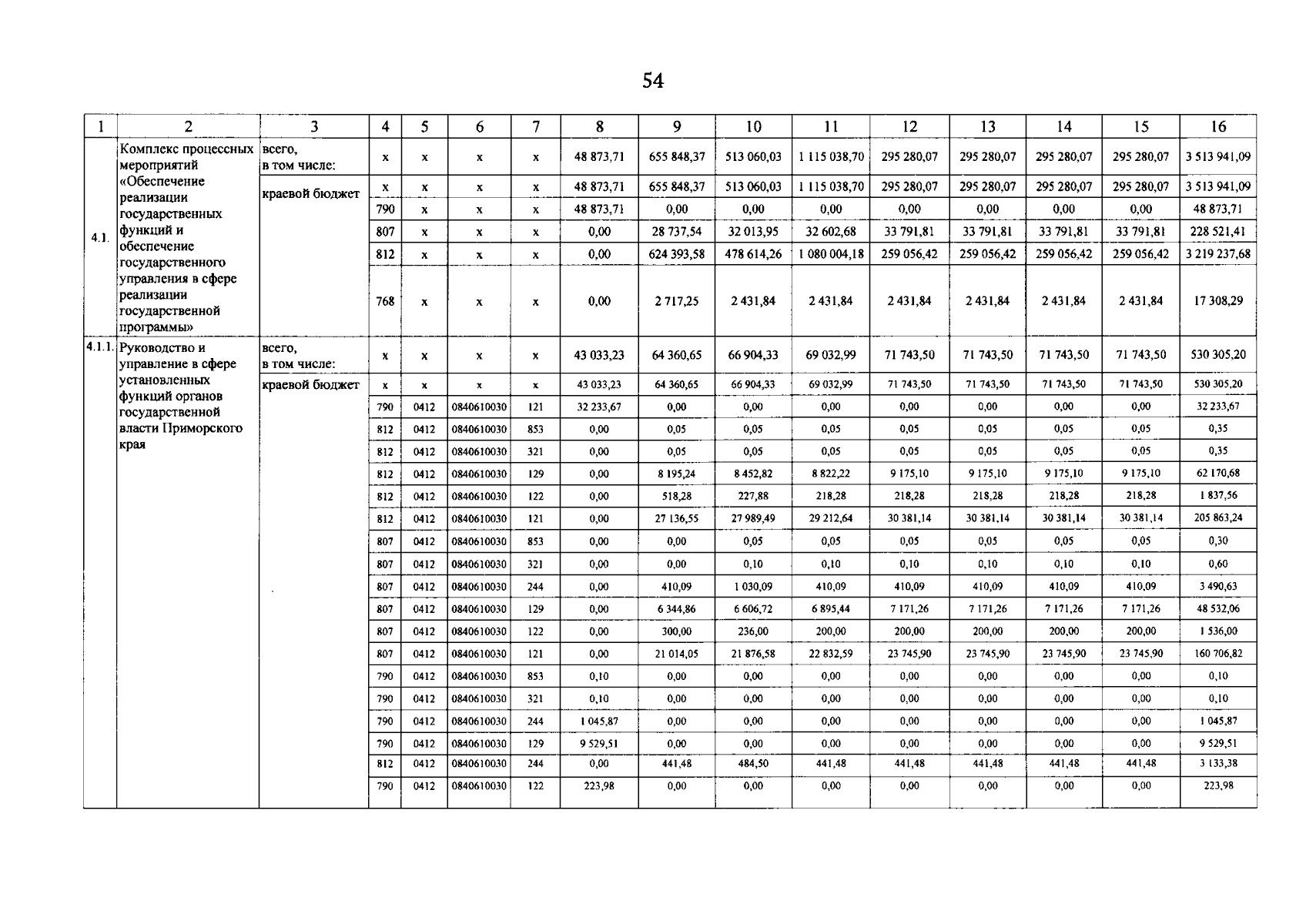
Постановление Правительства Приморского края от 28.03.2025 № 278-пп
"О внесении изменений в постановление Администрации Приморского края от 27 декабря 2019 года № 940-па "Об утверждении государственной программы Приморского края "Охрана окружающей среды Приморского края"
Номер опубликования: 2501202504010012
Дата опубликования: 01.04.2025
Страница №76 из 84:
Увеличить